Free Access

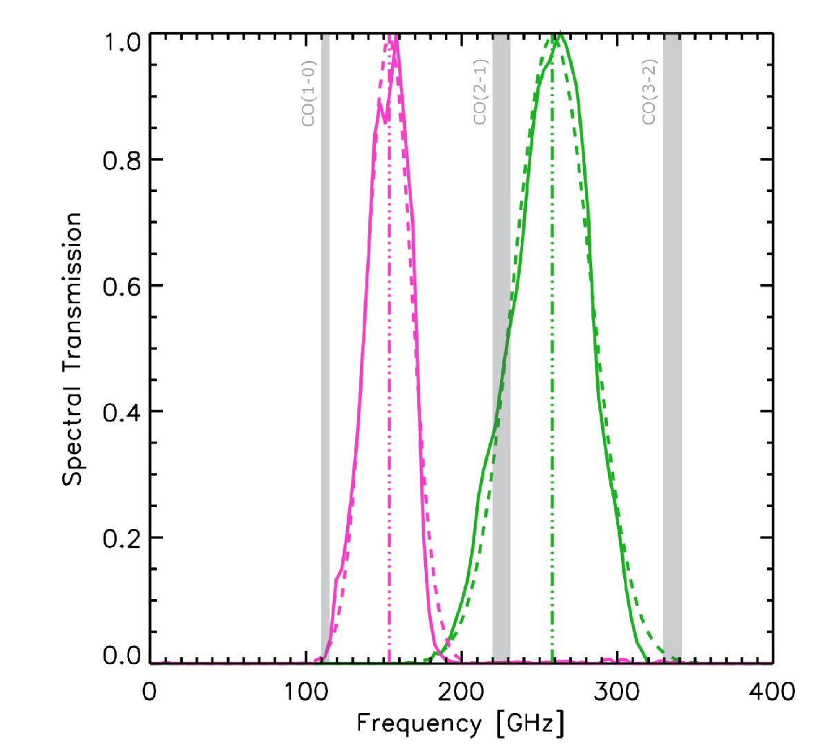
Fig. 2

image

Spectral transmission of the two NIKA bands. The dashed curves represent Gaussian fits to the bandpasses. The central peaks, marked with vertical dotted lines, are at (260 ± 25) GHz (~1.15 mm) in green and (150 ± 14) GHz (~2 mm) in pink. The gray shades show the CO transitions that fall into the NIKA bandpasses.

Current usage metrics show cumulative count of Article Views (full-text article views including HTML views, PDF and ePub downloads, according to the available data) and Abstracts Views on Vision4Press platform.

Data correspond to usage on the plateform after 2015. The current usage metrics is available 48-96 hours after online publication and is updated daily on week days.

Initial download of the metrics may take a while.