Free Access

Fig. 7

image

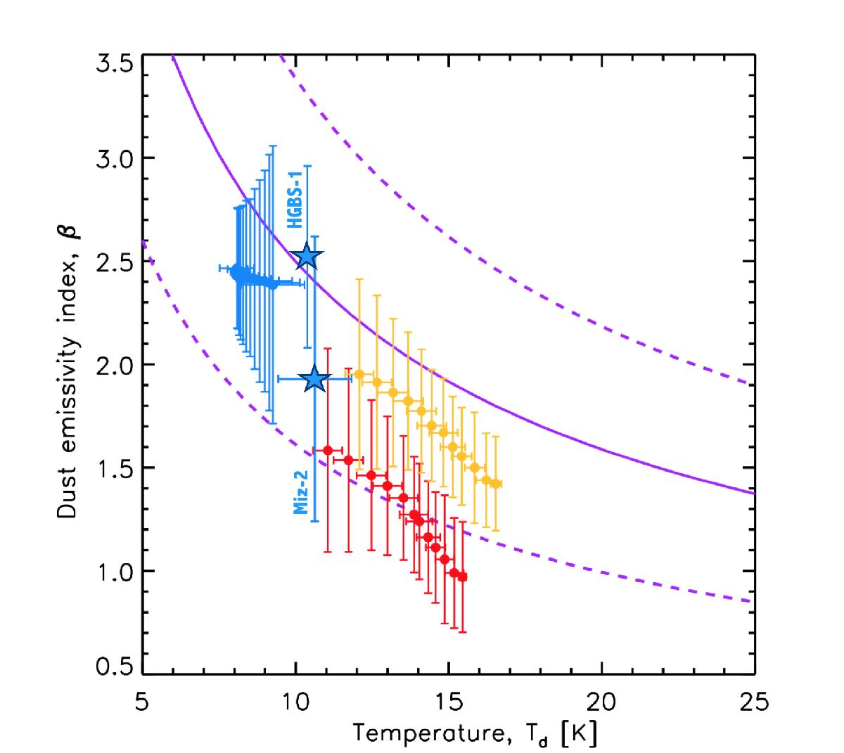
Diagram of β against Td for K04166 (red), K04169 (yellow), and Miz-8b (blue). For indication, the peak values for Miz-2 and HGBS-1 are also displayed with blue stars. The purple lines represent the empirical law (see Sect. 6) found in Désert et al. (2008, solid line) and the corresponding 1σ uncertainty (dashed lines).

Current usage metrics show cumulative count of Article Views (full-text article views including HTML views, PDF and ePub downloads, according to the available data) and Abstracts Views on Vision4Press platform.

Data correspond to usage on the plateform after 2015. The current usage metrics is available 48-96 hours after online publication and is updated daily on week days.

Initial download of the metrics may take a while.