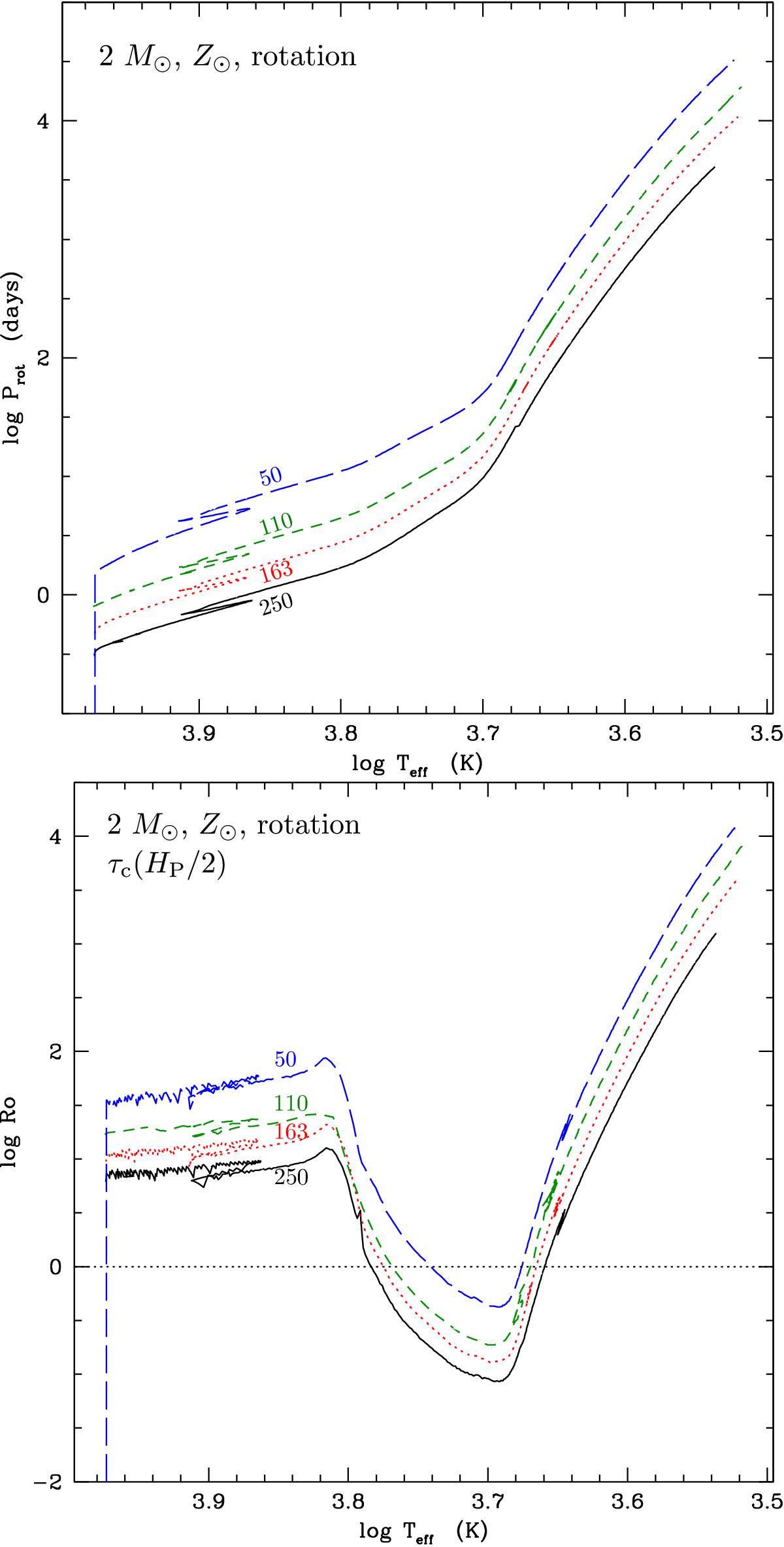
Fig. 5

Evolution of the rotation period (top) and Rossby number computed with the turnover timescale τ(Hp/ 2) (bottom) from the ZAMS up to the RGB tip for the 2 M⊙, Z⊙ models computed with different initial rotation velocities on the ZAMS (50, 110, 163, and 250 km s-1). The dotted horizontal line indicates a Ro equal to 1, which is the typical value to invoke α − Ω dynamo.
Current usage metrics show cumulative count of Article Views (full-text article views including HTML views, PDF and ePub downloads, according to the available data) and Abstracts Views on Vision4Press platform.
Data correspond to usage on the plateform after 2015. The current usage metrics is available 48-96 hours after online publication and is updated daily on week days.
Initial download of the metrics may take a while.