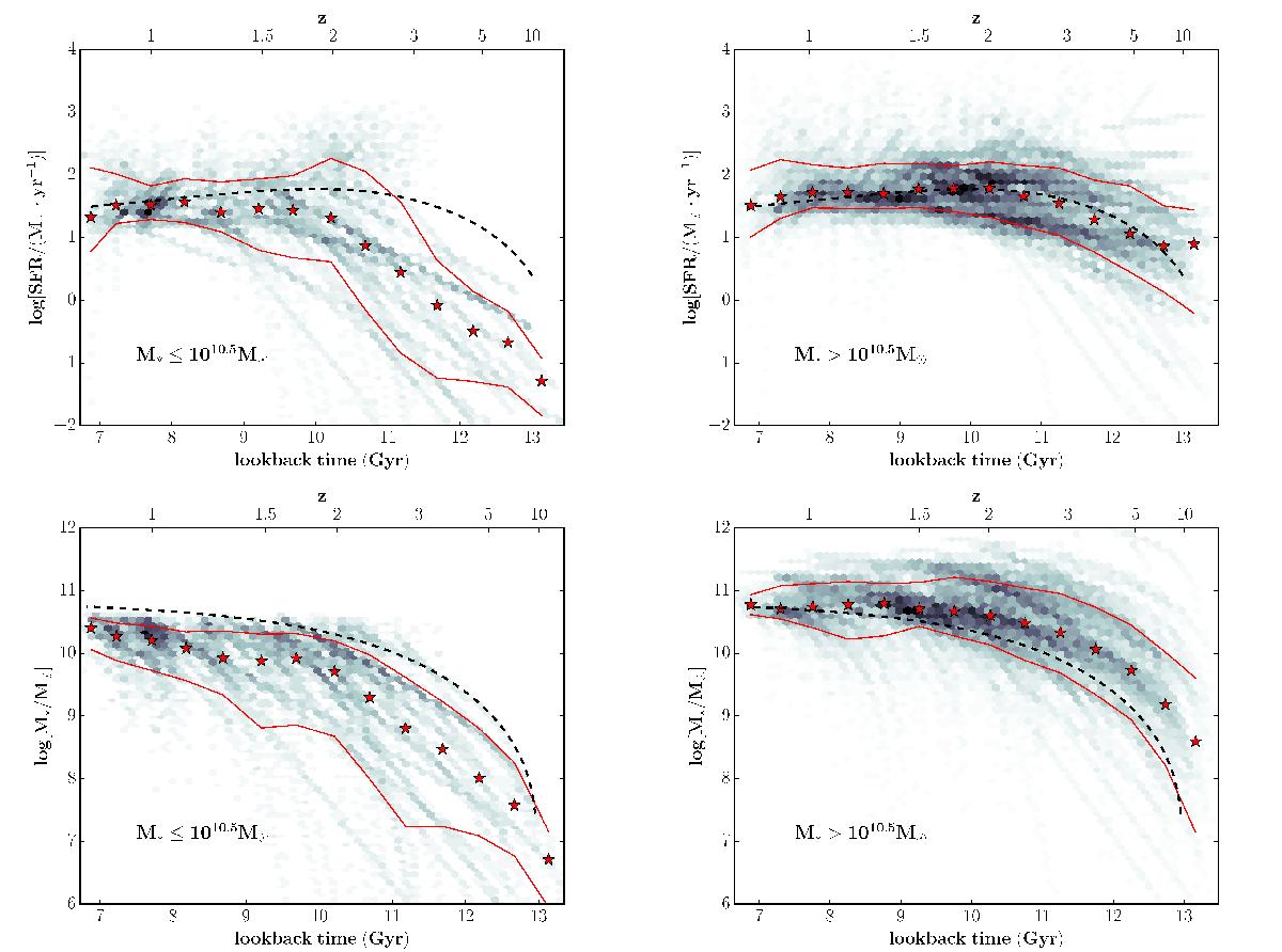
Fig. 16

Evolution of the best fitting SFHs of the sample in terms of SFR (top) and stellar mass (bottom), in the form of density maps. The left panels contain the low mass half of the sample, with M⋆ ≤ 1010.5M⊙, and the right panels the high mass half, above 1010.5M⊙. The red stars and lines mark the medians and 68% intervals in bins of 0.5 Gyr. On the top panels, the black dashed line corresponds to the CSFH from Madau & Dickinson (2014), arbitrarily scaled to the height of the heavy mass sample (similarly on the bottom panels the stellar mass density, integrated from the CSFH and rescaled). The general picture obtained is that the more massive galaxies have built their mass earlier and faster than the lighter ones.
Current usage metrics show cumulative count of Article Views (full-text article views including HTML views, PDF and ePub downloads, according to the available data) and Abstracts Views on Vision4Press platform.
Data correspond to usage on the plateform after 2015. The current usage metrics is available 48-96 hours after online publication and is updated daily on week days.
Initial download of the metrics may take a while.