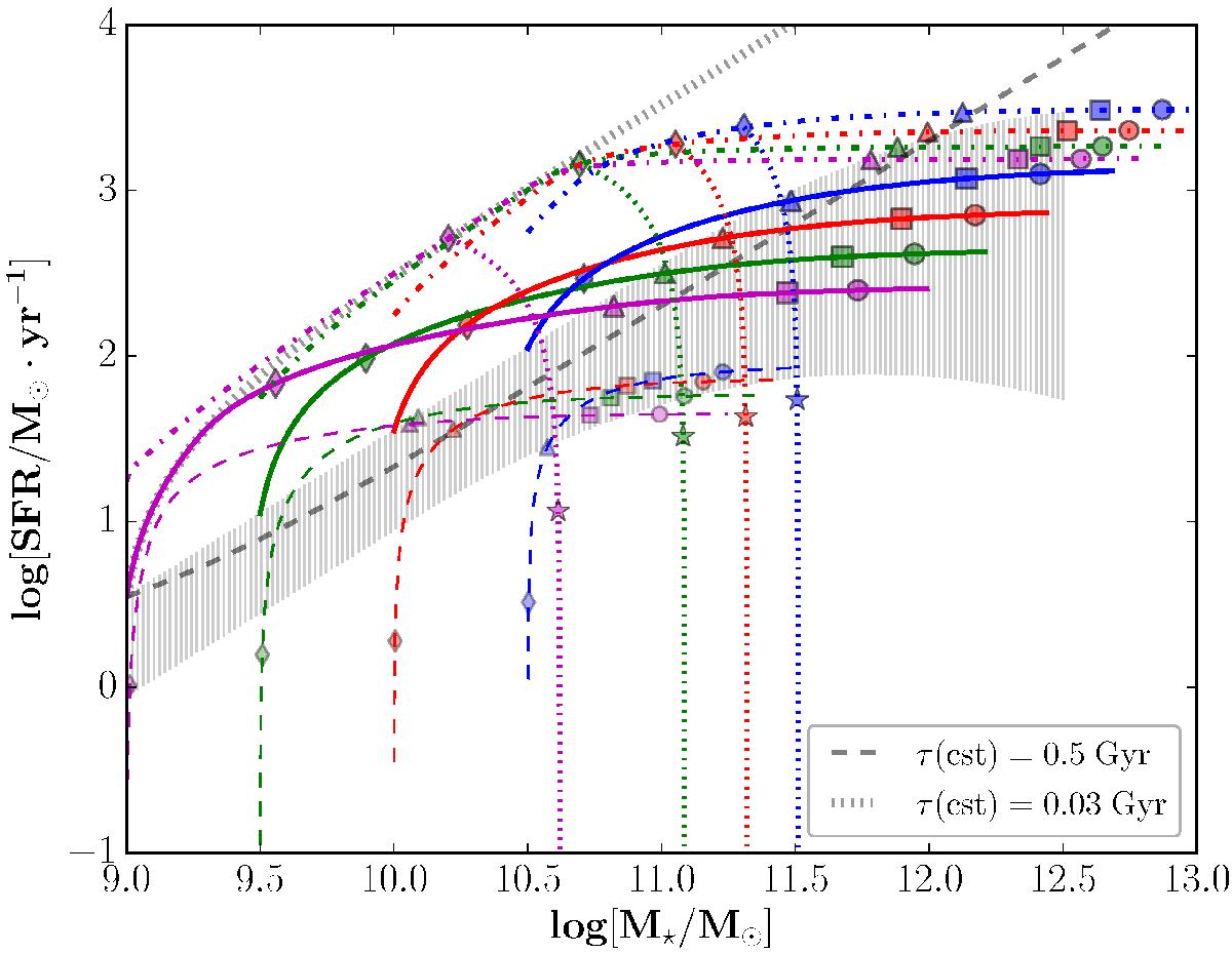
Fig. 20

Mass build-up tracks from a simple toy-model based on the trend of τ with M⋆ and z, plotted on the SFR – M⋆ diagram. The colors indicate different initial masses (ranging from 109 to 1010.5M⊙), and the line types different initial positions with respect to the MS, for these masses. The solid and dashed color tracks follow the parametrization of Eq. (6), and the dash-dotted ones that of Eq. (5). The dotted tracks show how the starbursts would evolve if at t = 100 Myr they would start to rapidly decline in SFR (τ = 50 Myr). The symbols (diamonds, triangles, squares, and circles) correspond to different times after the beginning of the tracks (respectively, 0.1, 0.5, 1.5 and 2.5 Gyr), while the stars mark the position on the tracks after 200 Myr of decline. The thick gray lines in the background show how the typical exponentially rising SFHs behave, with a constant τ of 30 and 500 Myr (dotted and dashed, respectively), while the hatched area represents the evolution of the MS from z = 4 to z = 1.
Current usage metrics show cumulative count of Article Views (full-text article views including HTML views, PDF and ePub downloads, according to the available data) and Abstracts Views on Vision4Press platform.
Data correspond to usage on the plateform after 2015. The current usage metrics is available 48-96 hours after online publication and is updated daily on week days.
Initial download of the metrics may take a while.