Free Access

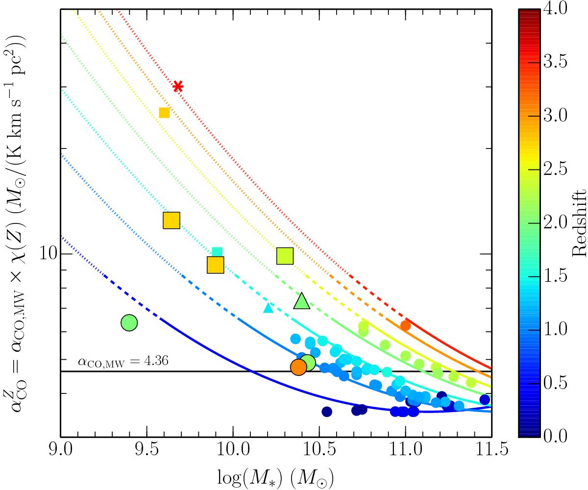
Fig. 9

image

Dependence of the metallicity-dependent CO-to-H2 conversion function, computed from Eqs. (2)–(4), on stellar mass and redshift. The lines are the iso-redshift curves, color-coded as a function of redshift, for z = 0.5 to z = 3.5 in steps of Δz = 0.5: the solid sections correspond to , the dashed segments to , and the dotted portions to . The horizontal black line marks the Milky Way CO-to-H2 conversion factor. Small symbols represent the computed values for MACSJ0032-arc (red star) as well as the compilation of MS SFGs with CO measurements from the literature (Dessauges-Zavadsky et al. 2015). Large symbols correspond to the few MS SFGs for which gas-phase metallicities have been measured from rest-frame optical nebular lines. The symbols are color-coded according to galaxy redshift and their shapes indicate ratios (<1.5: circles, 1.52: triangles, and >2: squares and star).

Current usage metrics show cumulative count of Article Views (full-text article views including HTML views, PDF and ePub downloads, according to the available data) and Abstracts Views on Vision4Press platform.

Data correspond to usage on the plateform after 2015. The current usage metrics is available 48-96 hours after online publication and is updated daily on week days.

Initial download of the metrics may take a while.