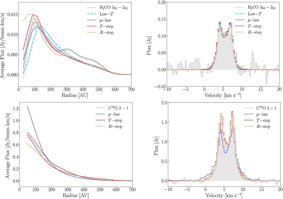
Fig. 6

H2CO 303–202 and C18O 2–1 data are compared with best-fit normalized models for each scenario mentioned in Sect. 3.2. The low-temperature model (dot-dashed cyan), power-law model (dotted blue), temperature step-abundance model (dashed red), and radial step abundance model (solid gold) show the radial distribution and spectra. Left: radial intensity curves of the best-fit normalized models obtained from azimuthally-averaged elliptical annuli projected to i = 44°, PA = 133°. The shaded grey region represents 1σ error bars. H2CO profiles are taken from integrated intensity maps after applying a Keplerian mask. Right: disk-integrated spectra of the best-fit normalized models obtained from a 5.6″ circular aperture. H2CO spectra are Hanning smoothed to 0.336 km s-1 channels. Parameters for each model can be found in Table 2.
Current usage metrics show cumulative count of Article Views (full-text article views including HTML views, PDF and ePub downloads, according to the available data) and Abstracts Views on Vision4Press platform.
Data correspond to usage on the plateform after 2015. The current usage metrics is available 48-96 hours after online publication and is updated daily on week days.
Initial download of the metrics may take a while.