Free Access
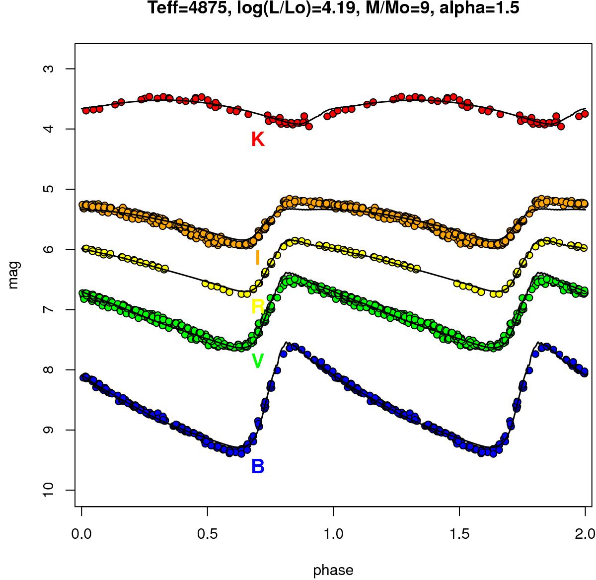
Fig. 12

Model fitting of the fundamental mode classical Cepheid RS Pup, the second longest period Cepheid in our sample with P = 41.528 days. The model fitting provides a parallax of ϖFIT = 0.58 ± 0.03 mas in excellent agreement with the TGAS parallax for this star, ϖTGAS = 0.63 ± 0.26 mas.
Current usage metrics show cumulative count of Article Views (full-text article views including HTML views, PDF and ePub downloads, according to the available data) and Abstracts Views on Vision4Press platform.
Data correspond to usage on the plateform after 2015. The current usage metrics is available 48-96 hours after online publication and is updated daily on week days.
Initial download of the metrics may take a while.