Free Access
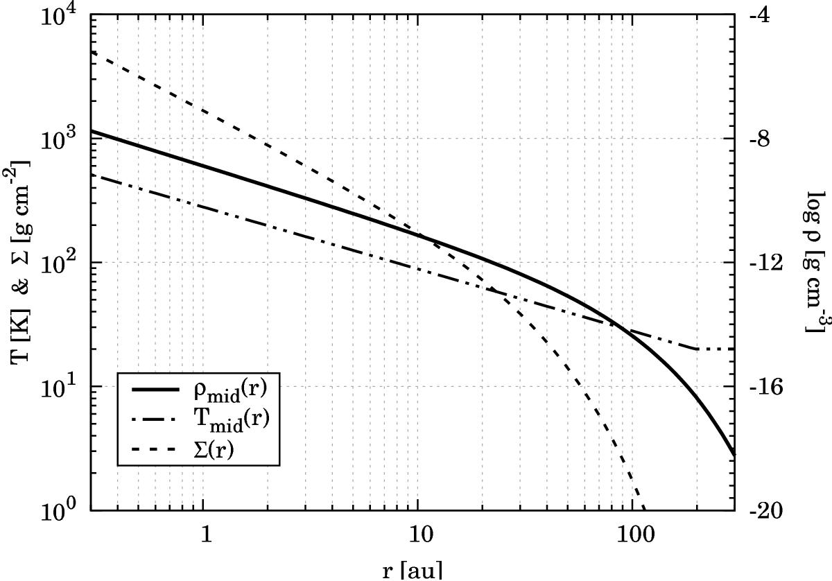
Fig. 1

Disc structure as adopted from Dzyurkevich et al. (2013). Displayed are the surface density profile (dashed): power law with exponential roll-off; the temperature power law profile bounded from below (dot-dot-dashed); the corresponding volumetric density through the midplane (solid, the values at the right ordinate).
Current usage metrics show cumulative count of Article Views (full-text article views including HTML views, PDF and ePub downloads, according to the available data) and Abstracts Views on Vision4Press platform.
Data correspond to usage on the plateform after 2015. The current usage metrics is available 48-96 hours after online publication and is updated daily on week days.
Initial download of the metrics may take a while.