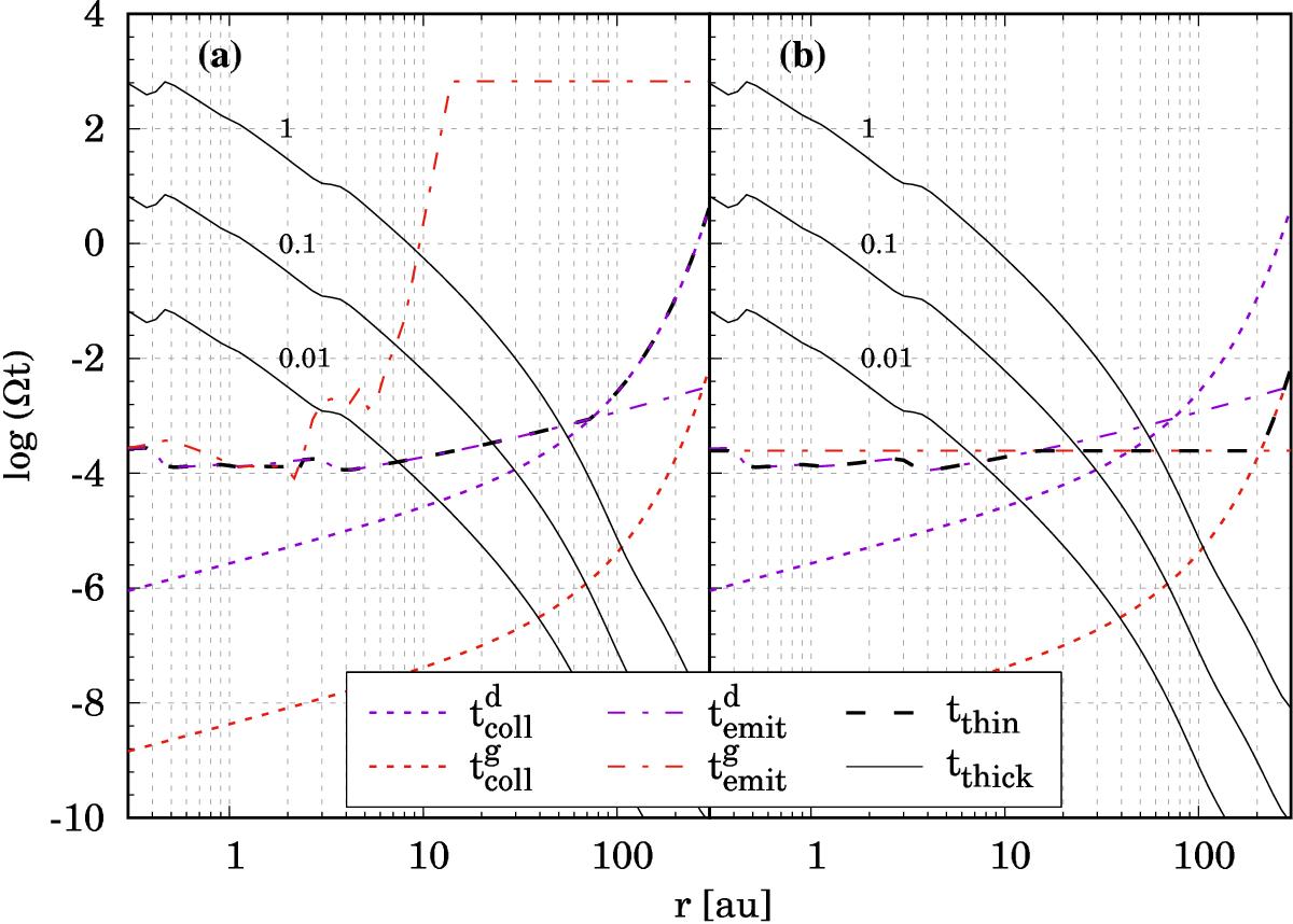
Fig. 4

Timescales involved in thermal relaxation. Values are scaled with local Keplerian frequency Ω. Panel a: the small gas opacity model, panel b: the large gas opacity model. The collision timescales are shown with the short dashed lines (grey for gas-to-gas, black for dust-to-gas); the LTE emission timescales are shown with the dot-dashed lines (grey for gas, black for dust); the resulting timescale of the optically thin relaxation is shown with the long dashed lines. The solid lines show the timescale of radiative diffusion in the vertical direction from the midplane for perturbation wavelengths (top to bottom).
Current usage metrics show cumulative count of Article Views (full-text article views including HTML views, PDF and ePub downloads, according to the available data) and Abstracts Views on Vision4Press platform.
Data correspond to usage on the plateform after 2015. The current usage metrics is available 48-96 hours after online publication and is updated daily on week days.
Initial download of the metrics may take a while.