Fig. 6

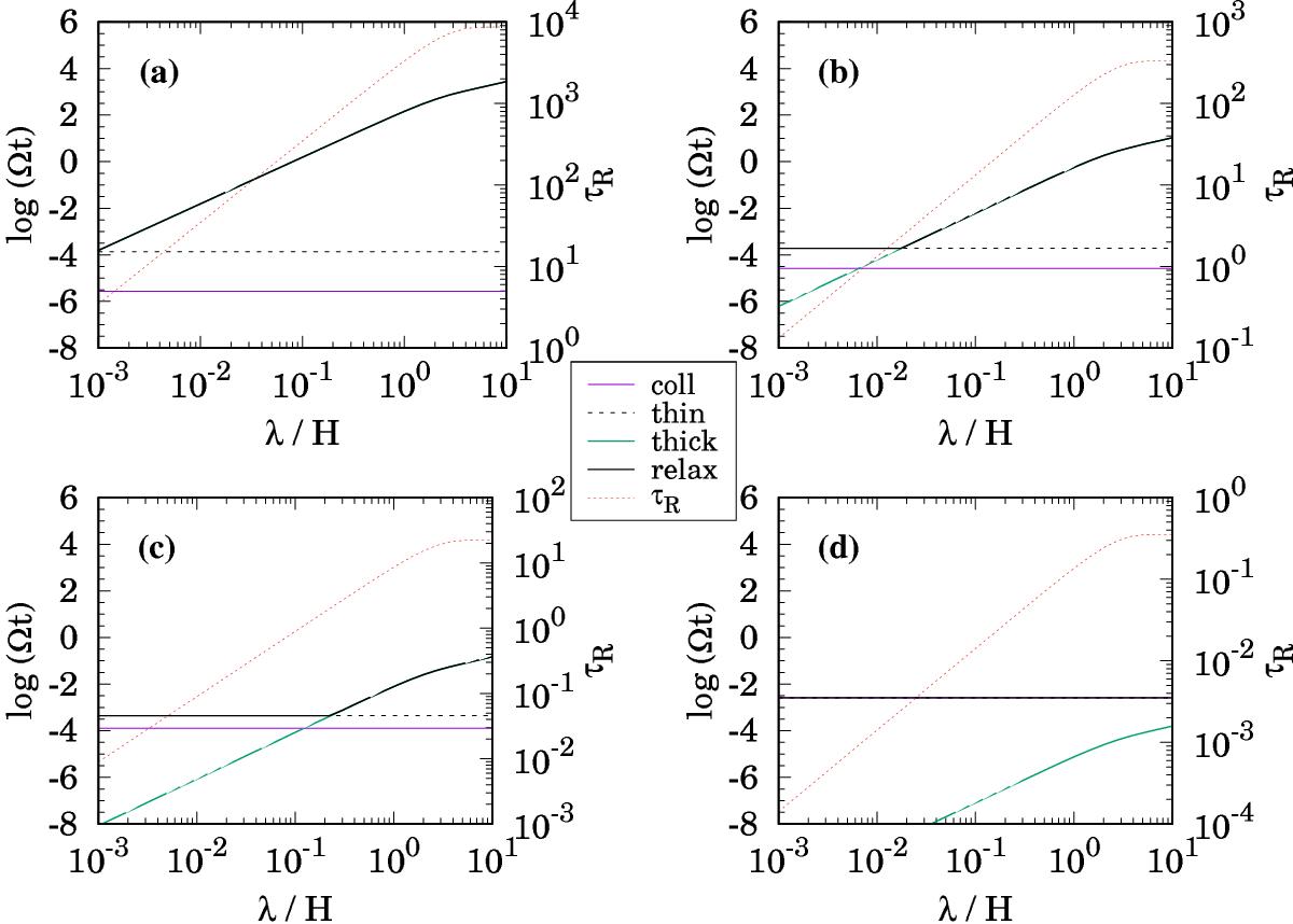
Relaxation timescale versus perturbation wavelength of midplane modes at different radial separations from the central star: 1au(a); 10au(b); 30au(c); and 100au(d). In each panel: the relaxation timescale (thick solid), the optically thin timescale (short dashed), the optically thick timescale (long dashed), the dust-to-gas collision timescale (dot-dashed), the Rosseland thickness of the mode (dotted, the values on the right ordinate).
Current usage metrics show cumulative count of Article Views (full-text article views including HTML views, PDF and ePub downloads, according to the available data) and Abstracts Views on Vision4Press platform.
Data correspond to usage on the plateform after 2015. The current usage metrics is available 48-96 hours after online publication and is updated daily on week days.
Initial download of the metrics may take a while.