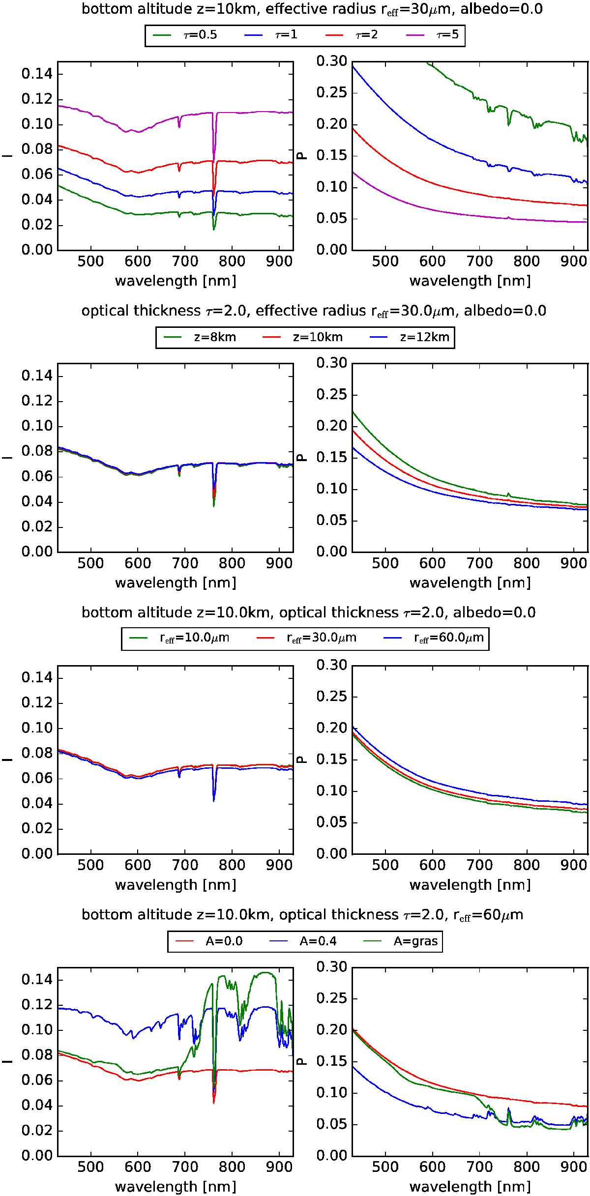
Fig. 7

Intensity I and degree of polarization P. The top figures show the sensitivity to ice water cloud optical thickness (at 550 nm) for a cloud layer from 10–11 km altitude including ice crystals with an effective radius reff of 30 μm. Cloud optical thicknesses τ range from 0.5 to 5. The second row shows the sensitivity to cloud altitude for a cloud with τ = 2 and reff = 30μm. The bottom altitude of the 1 km thick cloud layer varies from 8 to 12 km. The third row shows the sensitivity to the effective radius for a cloud layer with a bottom altitude of 10 km and τ = 2. The effective radius is varied from 10 to 60 μm. The bottom panels show the sensitivity to surface albedo.
Current usage metrics show cumulative count of Article Views (full-text article views including HTML views, PDF and ePub downloads, according to the available data) and Abstracts Views on Vision4Press platform.
Data correspond to usage on the plateform after 2015. The current usage metrics is available 48-96 hours after online publication and is updated daily on week days.
Initial download of the metrics may take a while.