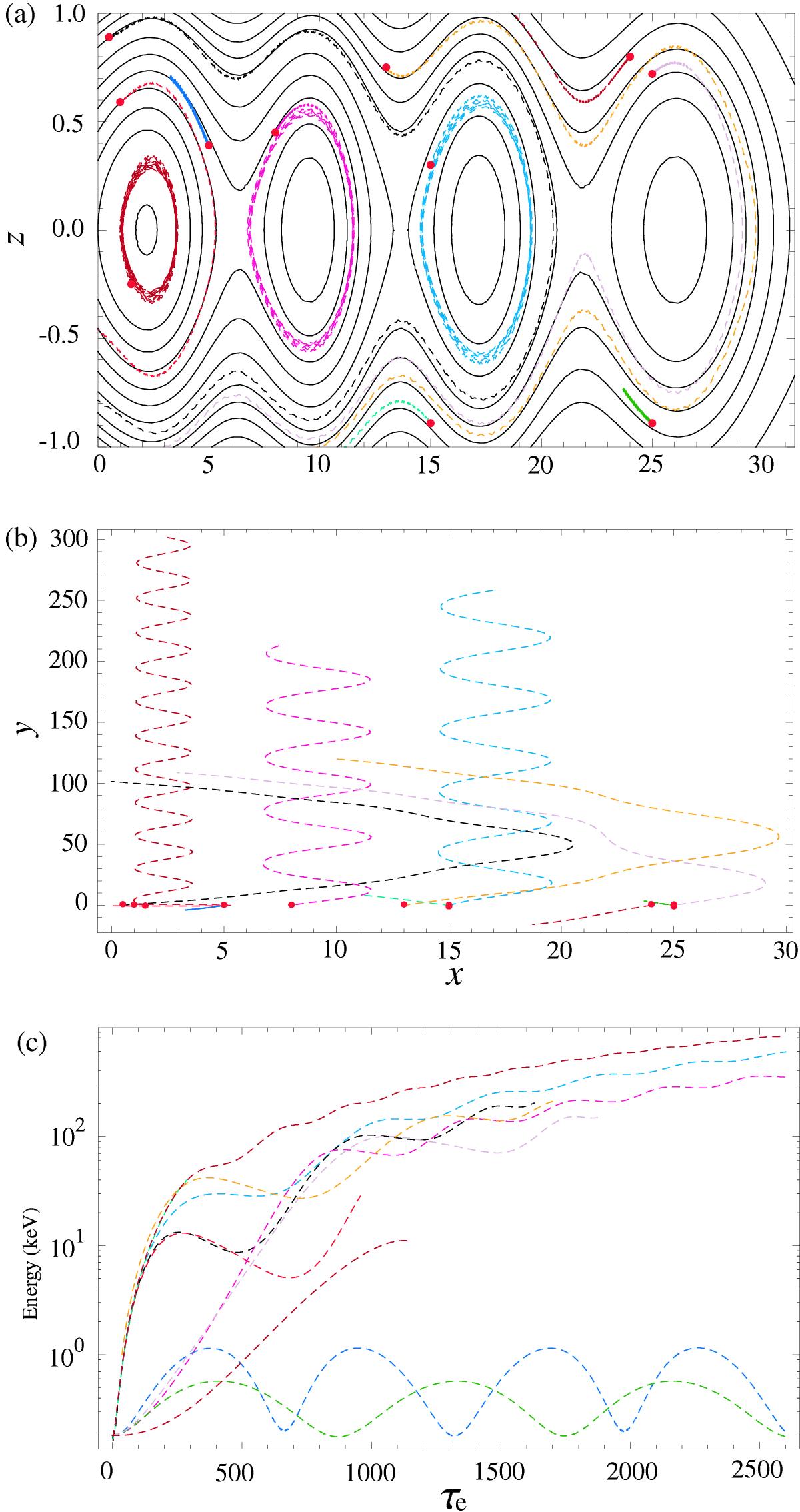
Fig. 2

Kinematics and dynamic of a randomly chosen sample of accelerated electrons. Panel a: Projection of electron trajectories onto the xz-plane, b) projection of the trajectories onto the xy-plane, and c) variations of the electron energies versus time for ξ = 1. Particles that start to be accelerated from different locations are displayed, and the initial location of each particle is denoted by the solid dot in plane a) and b).
Current usage metrics show cumulative count of Article Views (full-text article views including HTML views, PDF and ePub downloads, according to the available data) and Abstracts Views on Vision4Press platform.
Data correspond to usage on the plateform after 2015. The current usage metrics is available 48-96 hours after online publication and is updated daily on week days.
Initial download of the metrics may take a while.