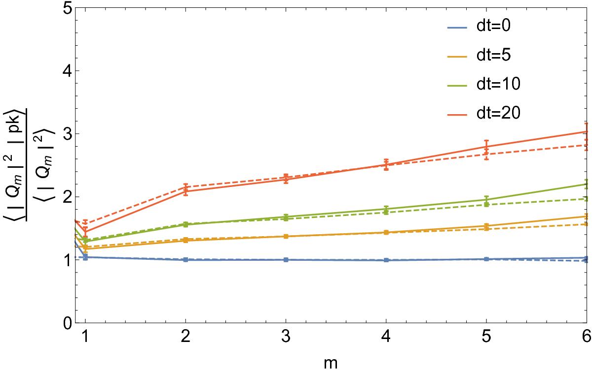
Fig. 12

Ratio between the multipolar moments at a distance r = 8 pixels from a field point of height ν> 2 compared to random locations, for a GRF displaced following the Zeldovich approximation for different time steps between 0 and 20 as labelled and smoothed over 3 pixels. The solid line is the measurements and the dashed line is the prediction for m> 0 given by Eq. (69).
Current usage metrics show cumulative count of Article Views (full-text article views including HTML views, PDF and ePub downloads, according to the available data) and Abstracts Views on Vision4Press platform.
Data correspond to usage on the plateform after 2015. The current usage metrics is available 48-96 hours after online publication and is updated daily on week days.
Initial download of the metrics may take a while.