Free Access

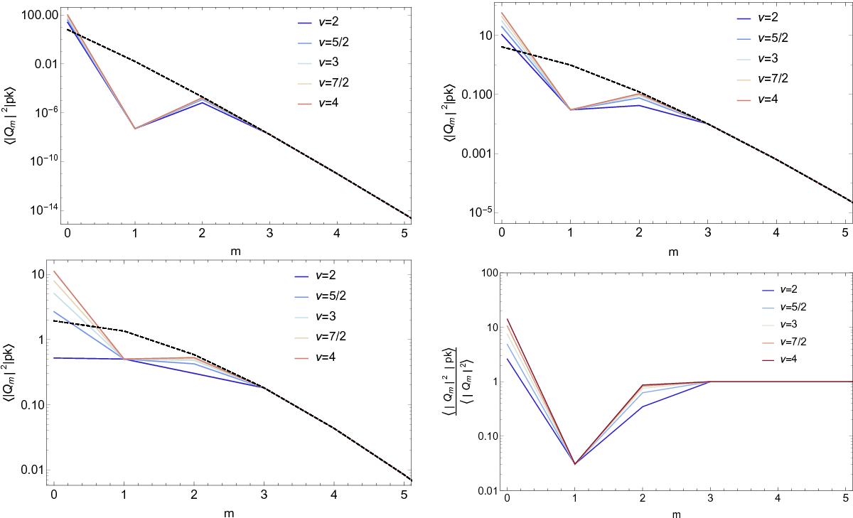
Fig. 6

image

Multipoles | Qm | 2 | for a central peak with height ν = 2 to 4 as labelled in a Gaussian random field with power spectrum P(k) ∝ k0 smoothed with a Gaussian filter and on the annulus at a distance r = 0.1 R (top left-hand panel), R (top right), and 2 R (bottom left). The dashed line corresponds to the random case in which we do not impose a central peak. The bottom right-hand panel shows the ratio of those multipoles to the random case for r = R.

This figure is made of several images, please see below:

Current usage metrics show cumulative count of Article Views (full-text article views including HTML views, PDF and ePub downloads, according to the available data) and Abstracts Views on Vision4Press platform.

Data correspond to usage on the plateform after 2015. The current usage metrics is available 48-96 hours after online publication and is updated daily on week days.

Initial download of the metrics may take a while.