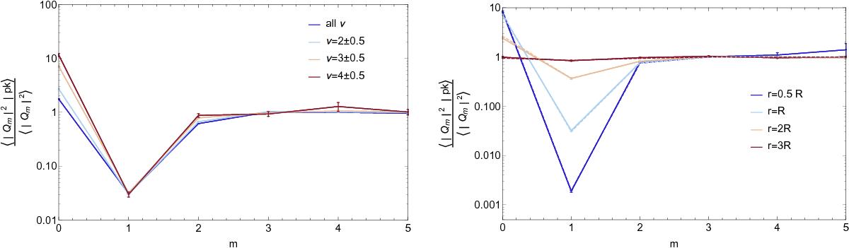
Fig. 8

Left-hand panel: same as the bottom right-hand panel of Fig. 6 for measurements in 10 realisations of a 20482 2D GRF smoothed with a Gaussian filter on 8 pixels. The height of the peaks are binned as labelled and the separation considered here is r = R = 8 pixels. Right-hand panel: same as left-hand panel when we vary the separation r instead of the peak height, which is set to ν = 3 here. We overplotted the theoretical predictions with dashed lines that are almost indistinguishable from the measurements.
Current usage metrics show cumulative count of Article Views (full-text article views including HTML views, PDF and ePub downloads, according to the available data) and Abstracts Views on Vision4Press platform.
Data correspond to usage on the plateform after 2015. The current usage metrics is available 48-96 hours after online publication and is updated daily on week days.
Initial download of the metrics may take a while.