Free Access

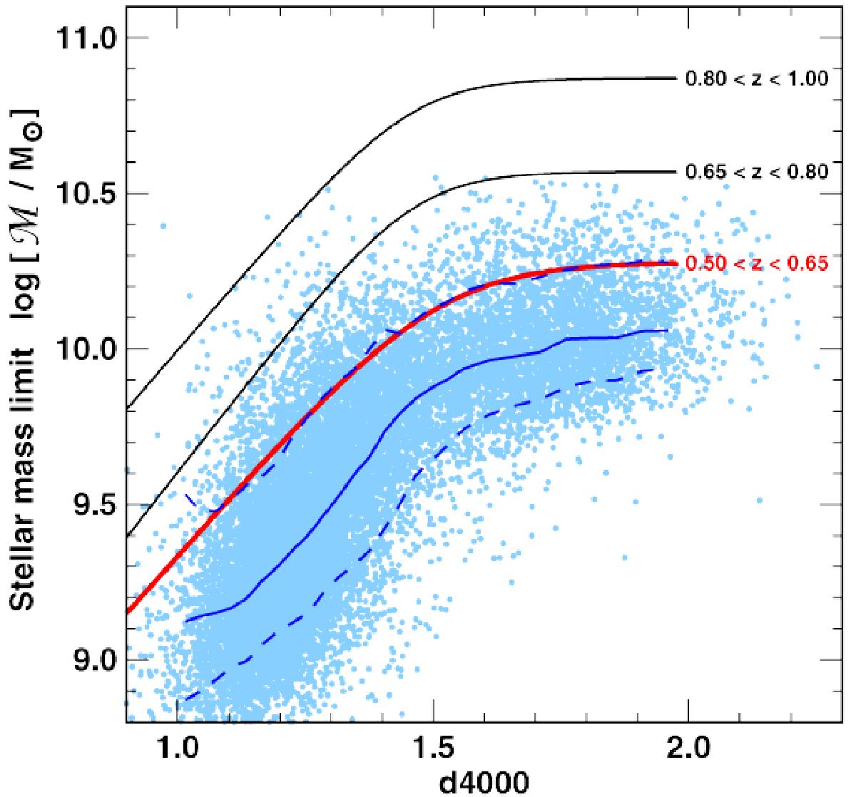
Fig. A.1

image

Stellar mass completeness limits as a function of d4000 and redshift. Light blue points mark the limiting stellar mass (lim) of 0.50 ≤ z< 0.65 VIPERS galaxies, at which they would have the apparent magnitude limit iAB = 22.5 of the survey. The solid blue curve marks the median lim value of these galaxies as a function of d4000, while the dashed lines mark the 16% and 90% completeness limits. The red curve is the best-fit double power-law to the 90% completeness limit for galaxies within the 0.50 ≤ z< 0.65 redshift bin. Black curves plot the corresponding best-fit double power-laws to the 90% completeness limits for the 0.65 ≤ z< 0.80 and 0.80 ≤ z< 1.00 redshift intervals.

Current usage metrics show cumulative count of Article Views (full-text article views including HTML views, PDF and ePub downloads, according to the available data) and Abstracts Views on Vision4Press platform.

Data correspond to usage on the plateform after 2015. The current usage metrics is available 48-96 hours after online publication and is updated daily on week days.

Initial download of the metrics may take a while.