Free Access

Fig. 12

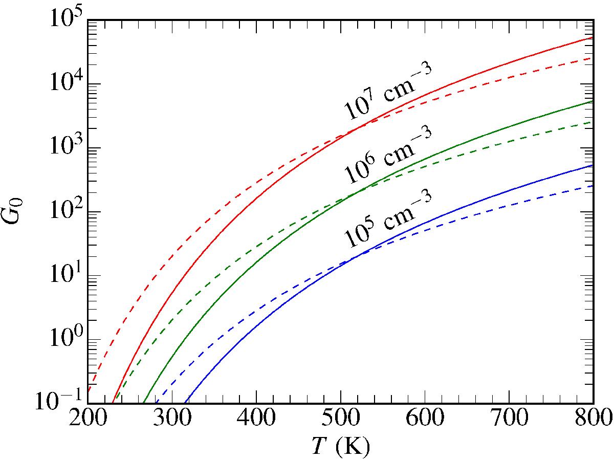
image

Required value of G0 for three different H2 densities, 105, 106, 107 cm-3 as a function of gas temperature to reach an equilibrium H2O abundance of 2 × 10-6, assuming photodissociation is the only path of destruction. The results from the network including OH from Bethell & Bergin (2009) are shown with dashed lines for the same densities.

Current usage metrics show cumulative count of Article Views (full-text article views including HTML views, PDF and ePub downloads, according to the available data) and Abstracts Views on Vision4Press platform.

Data correspond to usage on the plateform after 2015. The current usage metrics is available 48-96 hours after online publication and is updated daily on week days.

Initial download of the metrics may take a while.