Free Access

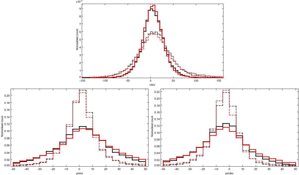
Fig. 6

image

Histograms of RAVE radial velocity distributions (top panel) and TGAS proper motions (bottom panels: left: proper motion along the right ascension; right: along the declination) for hot (solid lines) and cool (dashed lines) stars. Data are shown as black lines, and the best-fit model is shown as red lines.

This figure is made of several images, please see below:

Current usage metrics show cumulative count of Article Views (full-text article views including HTML views, PDF and ePub downloads, according to the available data) and Abstracts Views on Vision4Press platform.

Data correspond to usage on the plateform after 2015. The current usage metrics is available 48-96 hours after online publication and is updated daily on week days.

Initial download of the metrics may take a while.