Free Access

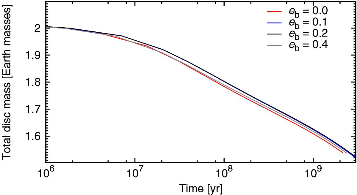
Fig. 5

image

Evolution of total disc mass for our set of ACE runs with different belt eccentricities eb. The spread in orbital eccentricities is set to be equal in all four runs, resulting in nearly identical mass evolution. Deviations are caused by limited grid resolution.

Current usage metrics show cumulative count of Article Views (full-text article views including HTML views, PDF and ePub downloads, according to the available data) and Abstracts Views on Vision4Press platform.

Data correspond to usage on the plateform after 2015. The current usage metrics is available 48-96 hours after online publication and is updated daily on week days.

Initial download of the metrics may take a while.