Free Access

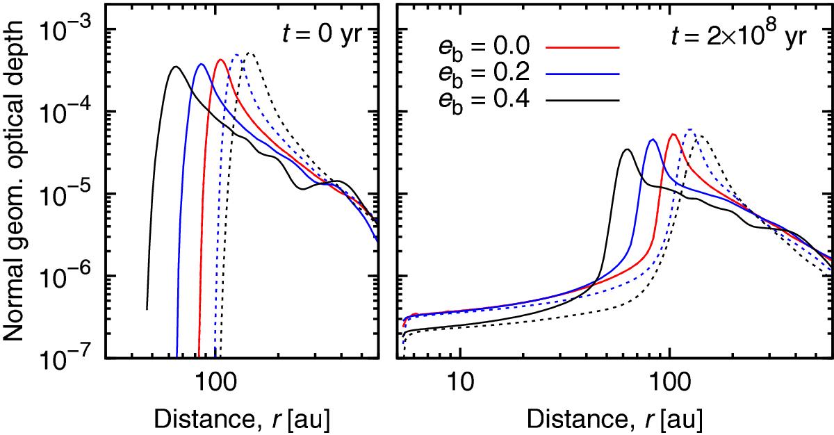
Fig. 7

image

Radial distributions of optical depth for a set of three discs with different global eccentricities eb at (left) t ≈ 0 yr and (right) t = 2 × 108 yr. Solid lines and dashed lines follow radial cuts through the periastron and apastron sides of the parent belts, respectively.

Current usage metrics show cumulative count of Article Views (full-text article views including HTML views, PDF and ePub downloads, according to the available data) and Abstracts Views on Vision4Press platform.

Data correspond to usage on the plateform after 2015. The current usage metrics is available 48-96 hours after online publication and is updated daily on week days.

Initial download of the metrics may take a while.