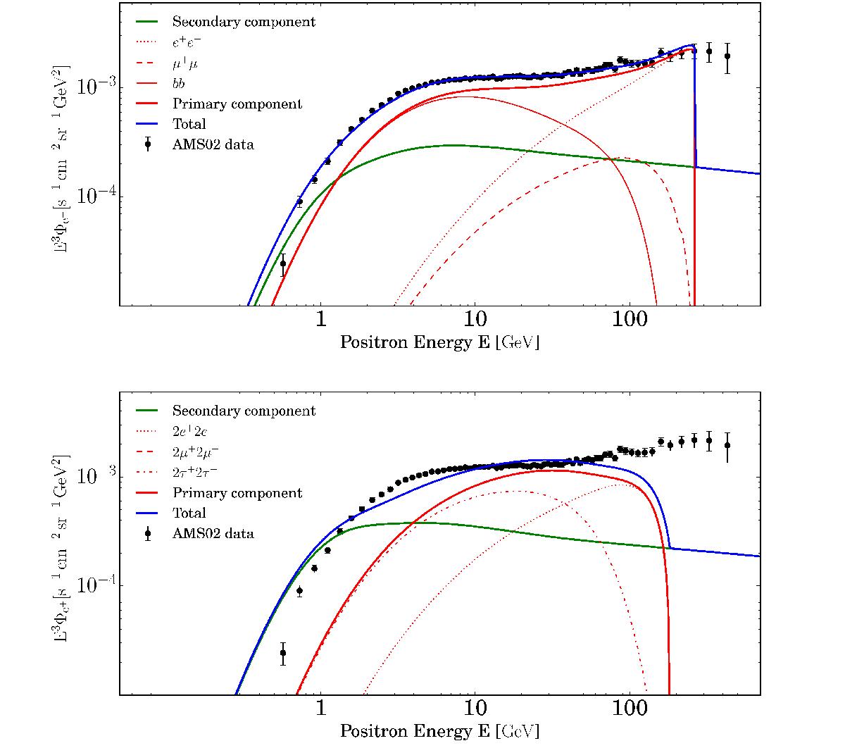
Fig. 11

Global best fit for the direct annihilation into standard model particles (upper panel) and annihilation into four leptons through light mediators (lower panel). The DM (resp. secondary) component is displayed in thick red (resp. thick green) while the total flux, the sum of these two components, is shown in thick blue. In the case of direct annihilation, the electron, muon, and b quark channels are displayed in dotted, dashed, and solid red lines, respectively. In the case of annihilations through light mediators, the electron and τ channels are displayed in dotted and dot-dashed red lines, respectively. The Ams-02 positron flux, including experimental uncertainties, is superimposed with black dots.
Current usage metrics show cumulative count of Article Views (full-text article views including HTML views, PDF and ePub downloads, according to the available data) and Abstracts Views on Vision4Press platform.
Data correspond to usage on the plateform after 2015. The current usage metrics is available 48-96 hours after online publication and is updated daily on week days.
Initial download of the metrics may take a while.