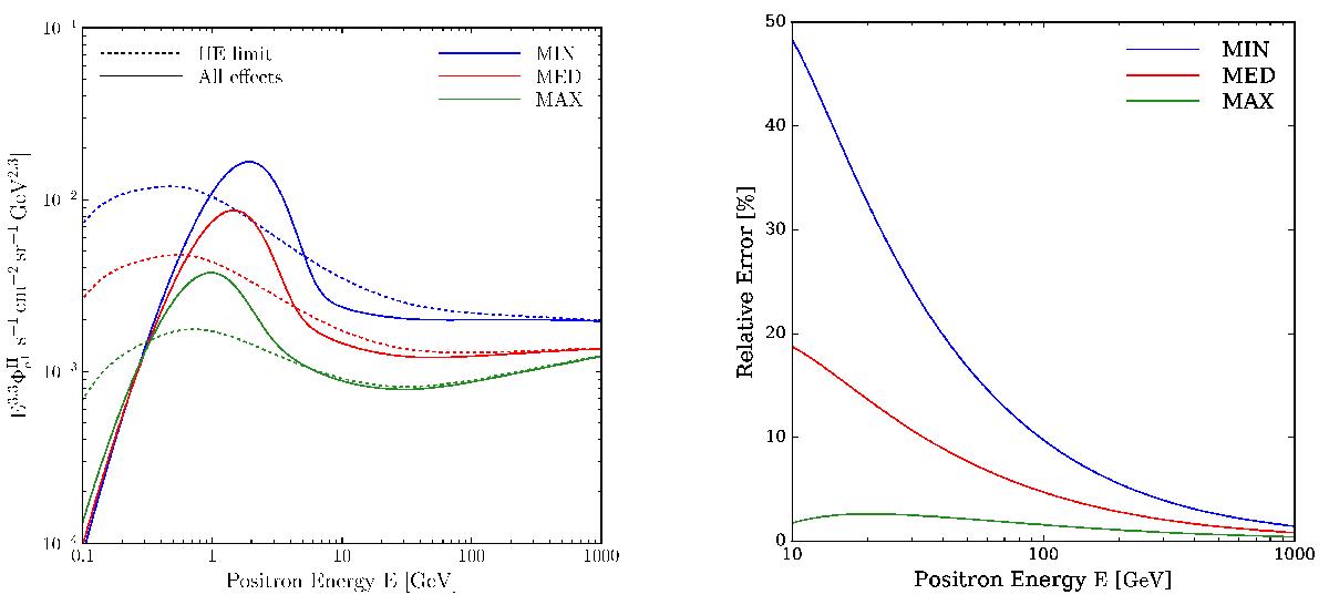
Fig. 6

Left panel: interstellar flux (multiplied by E3.3) of secondary positrons computed with all propagation effects (ΦII, solid lines) and with the high-energy approximation (, dotted lines) for the Min (blue), Med (red), and Max (green) models. Right panel: relative error
above 10 GeV of the high-energy approximation for secondary positrons compared to the exact result.
Current usage metrics show cumulative count of Article Views (full-text article views including HTML views, PDF and ePub downloads, according to the available data) and Abstracts Views on Vision4Press platform.
Data correspond to usage on the plateform after 2015. The current usage metrics is available 48-96 hours after online publication and is updated daily on week days.
Initial download of the metrics may take a while.