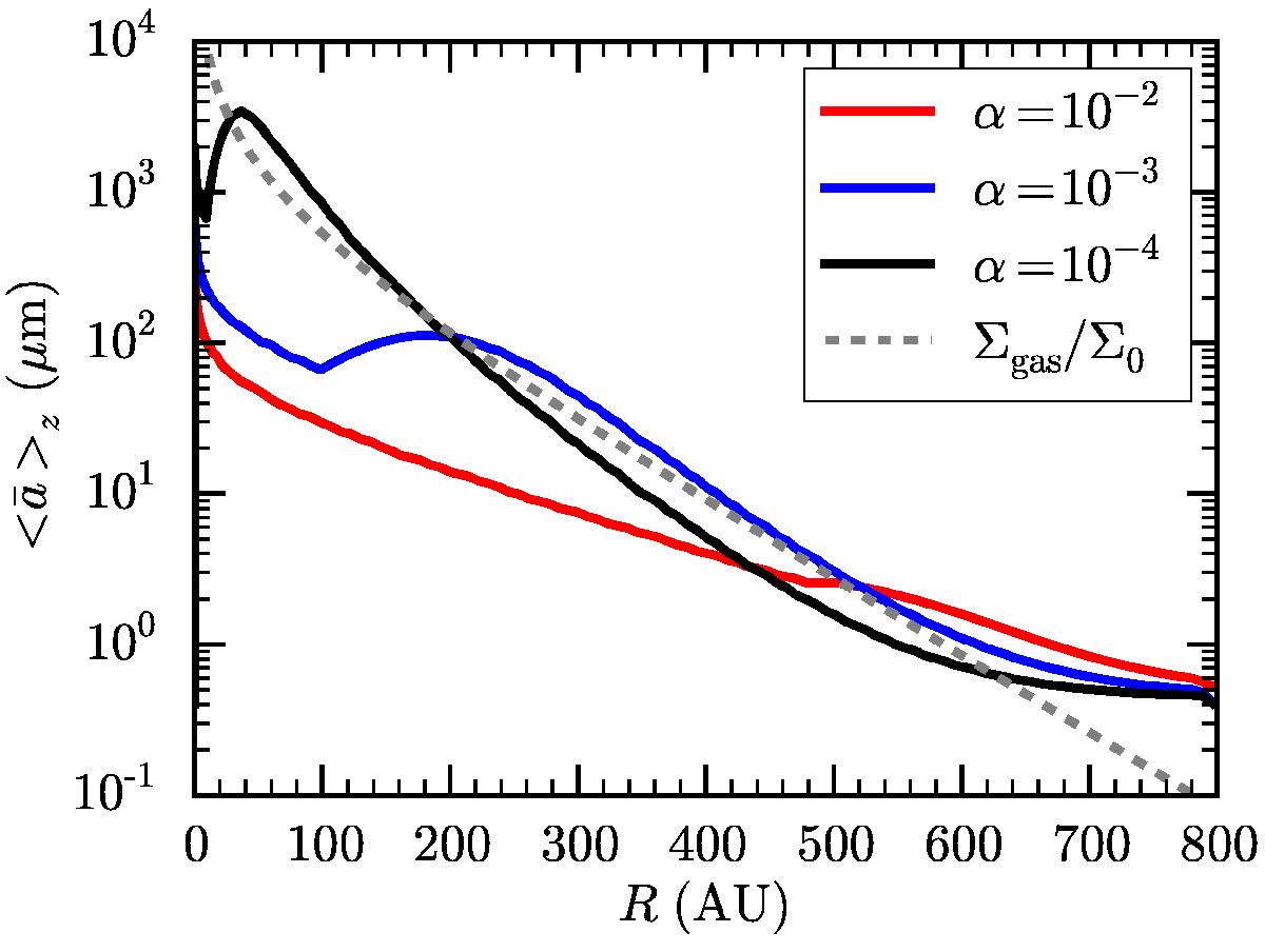
Fig. 6

Vertically averaged grain size () as a function of radius for the turbulent models, compared to the gas surface density profile rescaled to some value Σ0. For both α = 10-3 and α = 10-4 there is an intermediate region where the radial gradient of
is steeper than the radial gradient of Σgas, thus leading to disk self-shadowing.
Current usage metrics show cumulative count of Article Views (full-text article views including HTML views, PDF and ePub downloads, according to the available data) and Abstracts Views on Vision4Press platform.
Data correspond to usage on the plateform after 2015. The current usage metrics is available 48-96 hours after online publication and is updated daily on week days.
Initial download of the metrics may take a while.