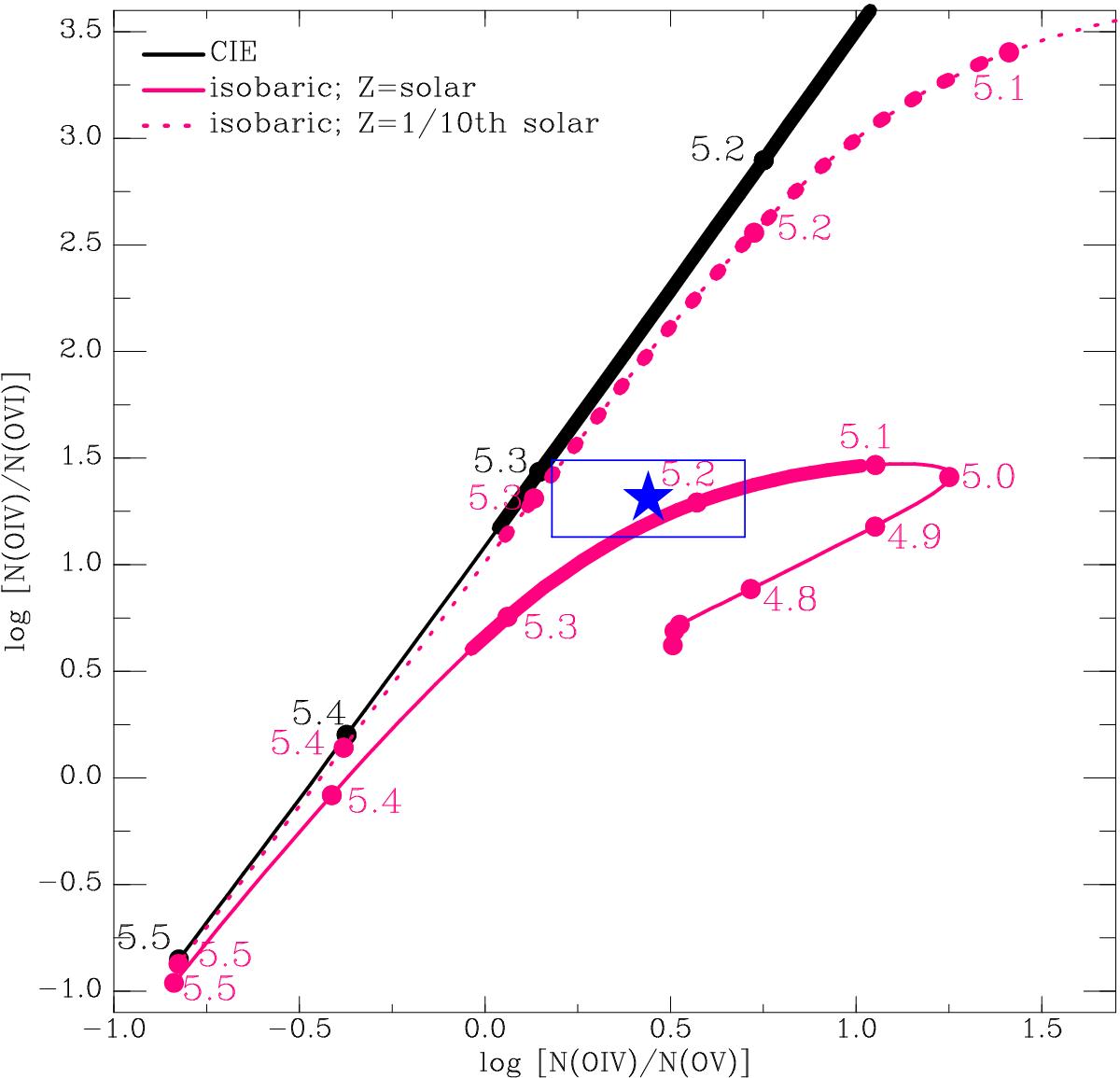
Fig. 19

Column density ratio O iv/O v vs. O iv/O vi based on the models of Gnat & Sternberg (2007). The black line corresponds to CIE, while the red lines indicate the isobaric non-equilibrium cooling models using solar metallicity (solid line) and 0.1× solar metallicity (dotted line). Corresponding log T(K) values are given by the labels along the curves. The curves are drawn as a thick line for the log T(K) values corresponding to the 1σ confidence range obtained from the RGS1 SPEX CIE fit to the O iv/O v line ratio data, extended with the systematic offset of 0.05 dex between the different CIE implementations in Gnat & Sternberg (2007) and SPEX. The blue star and box indicate the measurement.
Current usage metrics show cumulative count of Article Views (full-text article views including HTML views, PDF and ePub downloads, according to the available data) and Abstracts Views on Vision4Press platform.
Data correspond to usage on the plateform after 2015. The current usage metrics is available 48-96 hours after online publication and is updated daily on week days.
Initial download of the metrics may take a while.