Free Access

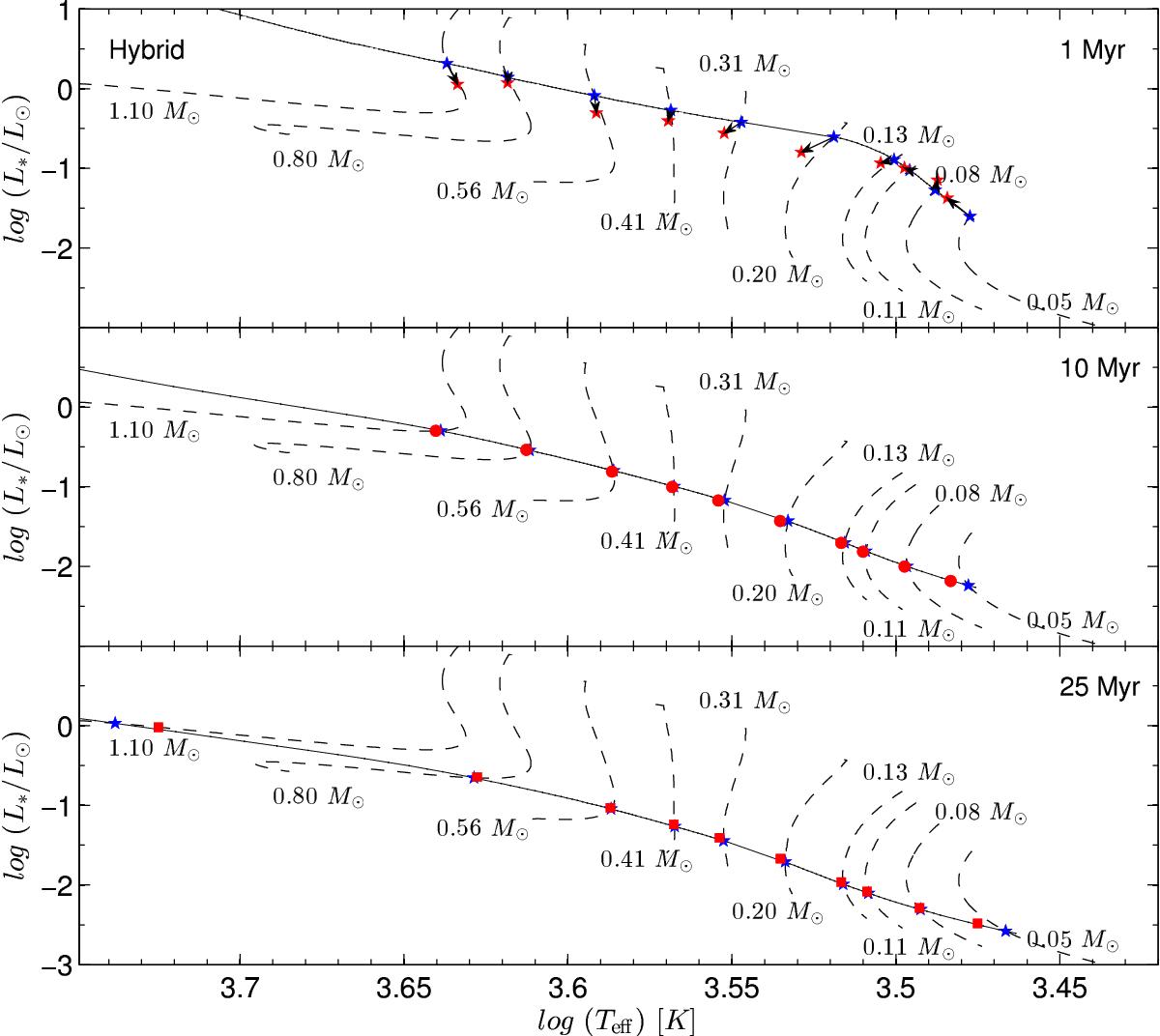
Fig. 3

image

HR diagrams for models with an age of 1 Myr (top subplot), 10 Myr (center), and 25 Myr (bottom). The black solid lines indicate non-accreting isochrones for 1 Myr (top subplot), 10 Myr (center), and 25 Myr (bottom). The black dashed lines show the non-accreting isomasses. Red and blue markers indicate accreting and non-accreting models, respectively, at the age of 1 Myr (stars), 10 Myr (circles), 25 Myr (squares), and with a mass (in solar masses) shown next to each isomass they fit. Black arrows show the difference between accreting and non-accreting models with the same mass and age.

Current usage metrics show cumulative count of Article Views (full-text article views including HTML views, PDF and ePub downloads, according to the available data) and Abstracts Views on Vision4Press platform.

Data correspond to usage on the plateform after 2015. The current usage metrics is available 48-96 hours after online publication and is updated daily on week days.

Initial download of the metrics may take a while.