Free Access

Fig. 7

image

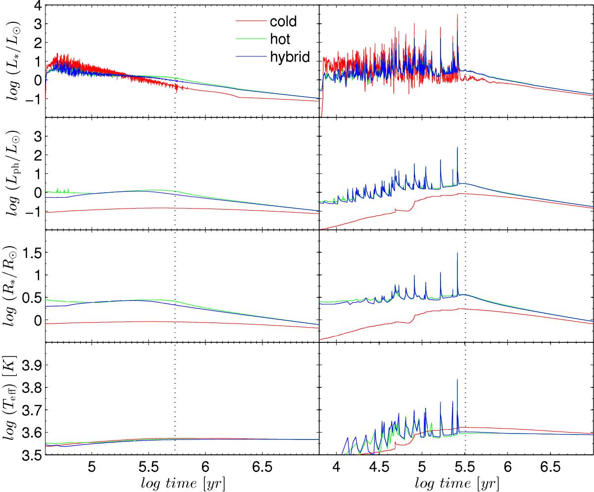
Time behavior (from top to bottom) of the total luminosity, photospheric luminosity, stellar radius, and effective temperature in model 18 without accretion bursts (left column) and model 23 with strong accretion bursts (right column). The red, green, and blue lines correspond to the cold, hot, and hybrid accretion scenarios. The vertical dotted lines define the zero-point ages when protostars accumulate 95% of their final mass.

Current usage metrics show cumulative count of Article Views (full-text article views including HTML views, PDF and ePub downloads, according to the available data) and Abstracts Views on Vision4Press platform.

Data correspond to usage on the plateform after 2015. The current usage metrics is available 48-96 hours after online publication and is updated daily on week days.

Initial download of the metrics may take a while.