Free Access

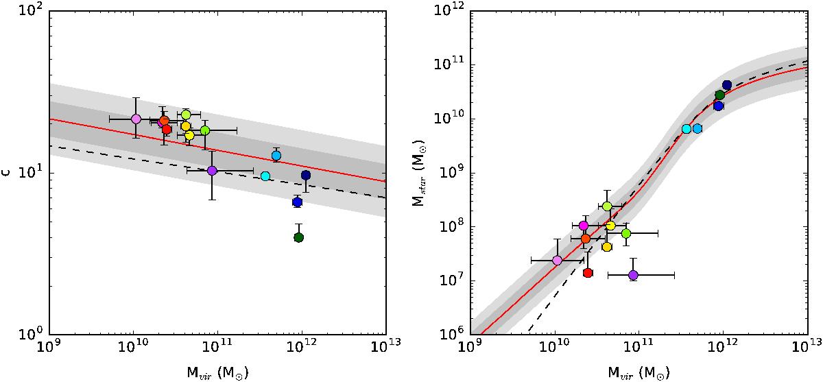
Fig. 6

image

Comparison of the parameters of the DC14 fits performed according to the strategy from Pace (2016) to the cosmological halo mass-concentration relation from Dutton & Macciò (2014; left) and the stellar mass-halo mass relation from Behroozi et al. (2013; right). Colours are as in Fig. 5.

Current usage metrics show cumulative count of Article Views (full-text article views including HTML views, PDF and ePub downloads, according to the available data) and Abstracts Views on Vision4Press platform.

Data correspond to usage on the plateform after 2015. The current usage metrics is available 48-96 hours after online publication and is updated daily on week days.

Initial download of the metrics may take a while.