Free Access

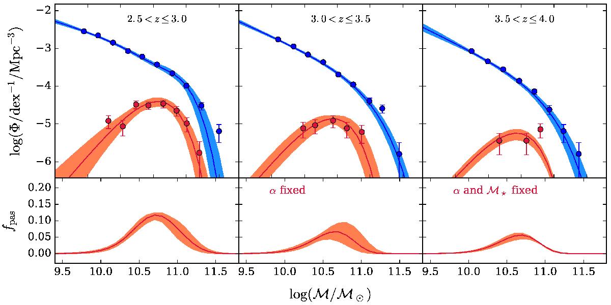
Fig. 12

image

Active and passive SMFs (blue and red symbols, respectively) in the same redshift bins of Fig. 8. Filled circles are the 1 /Vmax points, while solid lines represent the Schechter functions fitting to them (shaded areas being the 1σ uncertainty of the fit). In the bottom panels we show the fraction of passive galaxies (fpas) as a function of stellar mass in the same z-bins.

Current usage metrics show cumulative count of Article Views (full-text article views including HTML views, PDF and ePub downloads, according to the available data) and Abstracts Views on Vision4Press platform.

Data correspond to usage on the plateform after 2015. The current usage metrics is available 48-96 hours after online publication and is updated daily on week days.

Initial download of the metrics may take a while.