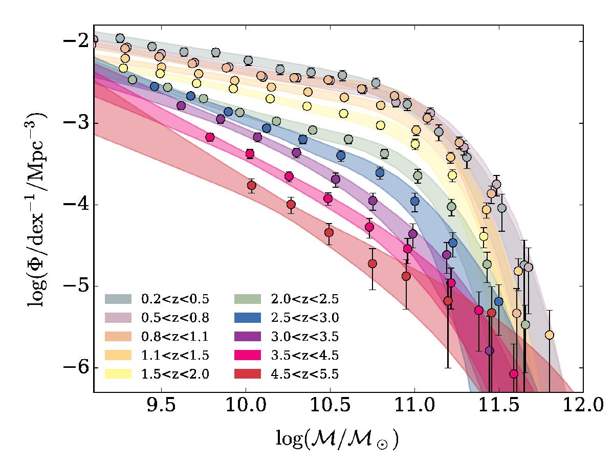
Fig. 15

Evolution of the SMF between z = 0.2 and 5.5, for the COSMOS2015 galaxy sample. Filled circles show the 1 /Vmax estimates, and shaded areas show the 1σ uncertainty of the best Schechter function fitting to them (as in Figs. 8 and C.2). Colours indicating the redshift bins are summarised in the bottom-left corner of the plot.
Current usage metrics show cumulative count of Article Views (full-text article views including HTML views, PDF and ePub downloads, according to the available data) and Abstracts Views on Vision4Press platform.
Data correspond to usage on the plateform after 2015. The current usage metrics is available 48-96 hours after online publication and is updated daily on week days.
Initial download of the metrics may take a while.