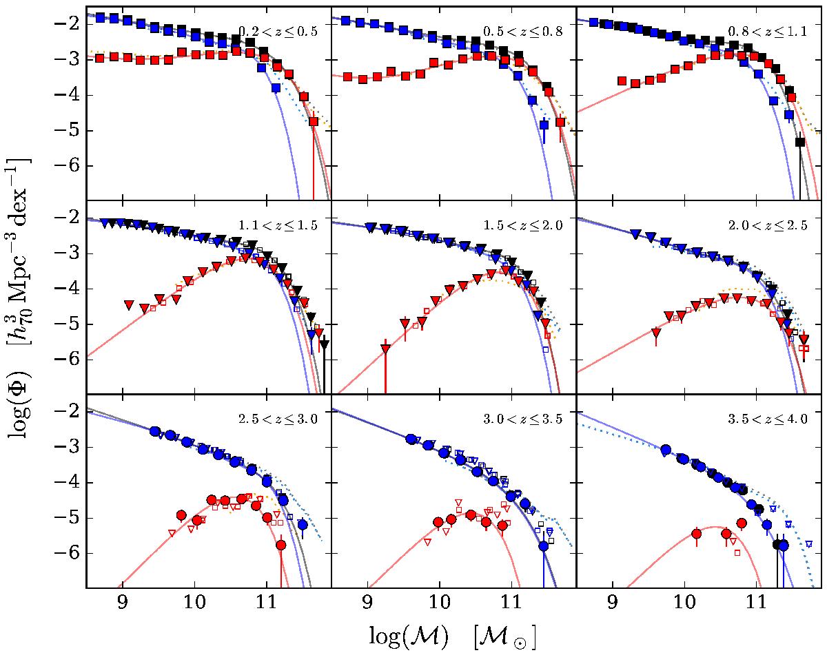
Fig. C.2

Three different 1 /Vmax estimates of the COSMOS2015 galaxy SMF, from z = 0.2 to 4. The estimates are derived from: A Ks-selected sample using the official SED fitting from L16 (squares); a [3.6]-selected sample that also relies on zphot,L16 and ℳ of L16 (triangles); the high-z[3.6]-selected sample presented in this paper (circles). Active and passive galaxies, classified in Sect. 4.3 by means of (NUV−r) and (r−J) colours, are shown with blue and red symbols, respectively. The SMFs used in Sect. 6 to discuss ~10 billion years of galaxy evolution are shown with filled symbols, while smaller empty symbols are used in the z-bins where the reference SMF changed. In each bin, Schechter functions (solid lines, same colours for total, active, and passive galaxies) fit the data points of the reference sample (i.e. the filled symbols). We also plot the Schechter functions fitting the SMF of UltraVISTA DR1 galaxies (Ilbert et al. 2013) with dotted lines. All the fits are corrected for the Eddington bias.
Current usage metrics show cumulative count of Article Views (full-text article views including HTML views, PDF and ePub downloads, according to the available data) and Abstracts Views on Vision4Press platform.
Data correspond to usage on the plateform after 2015. The current usage metrics is available 48-96 hours after online publication and is updated daily on week days.
Initial download of the metrics may take a while.