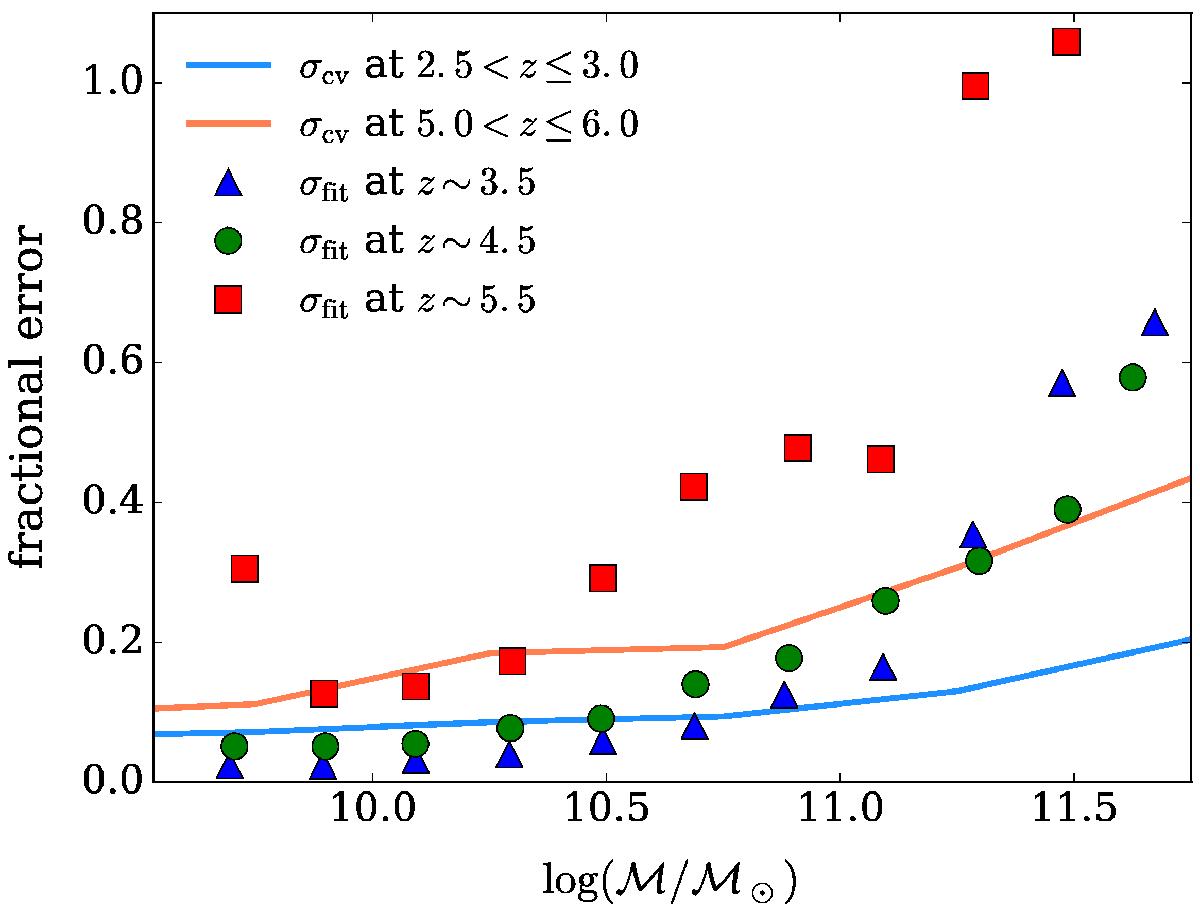
Fig. 9

SMF uncertainties due to cosmic variance (expressed as a fractional error: σcv/ Φ) and SED fitting (σfit/ Φ), as a function of redshift and stellar mass. We show the impact of cosmic variance on the two extreme bins and
(blue and red line, respectively). For σfit we take, as an example, three redshift bins:
(blue triangles),
(green circles), and
(red squares).
Current usage metrics show cumulative count of Article Views (full-text article views including HTML views, PDF and ePub downloads, according to the available data) and Abstracts Views on Vision4Press platform.
Data correspond to usage on the plateform after 2015. The current usage metrics is available 48-96 hours after online publication and is updated daily on week days.
Initial download of the metrics may take a while.