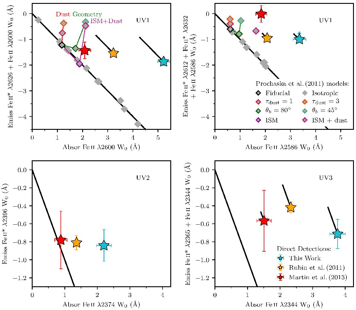
Fig. 8

Comparison of observed and modeled rest-frame equivalent widths from the Fe ii UV1, UV2, and UV3 multiplet transitions. Each panel plots the total equivalent width from re-emission as a function of the corresponding resonant absorption equivalent width. The black diagonal “photon-conservation” line indicates equal amounts of absorption and re-emission. Star-shaped points show the infilling-corrected equivalent width values from three direct detections: this work (blue), Rubin et al. (2011; yellow), and Martin et al. (2013; red). The diagonal black lines associated with these points trace the infilling correction. Gray diamonds in the top panels come from radiative transfer model predictions for the UV1 multiplet (Prochaska et al. 2011). Diamonds with colored outlines represent variations to the fiducial isotropic outflow model (black outline) that move the model predictions away from the photon-conservation line. Model predictions for the Fe ii UV2 and UV3 multiplets are not currently available.
Current usage metrics show cumulative count of Article Views (full-text article views including HTML views, PDF and ePub downloads, according to the available data) and Abstracts Views on Vision4Press platform.
Data correspond to usage on the plateform after 2015. The current usage metrics is available 48-96 hours after online publication and is updated daily on week days.
Initial download of the metrics may take a while.