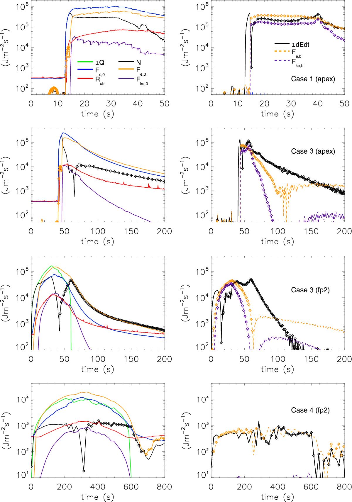
Fig. 7

Analysis of quantities associated with the UTR jump condition based on fully resolved HYDRAD simulations. Rows 1, 2, 3 and 4 correspond to Case 1 apex, Case 3 apex, Case 3 fp2 and Case 4 fp2 heating, respectively. The left-hand panels show the terms in Eq. (2)that control the plasma response, namely the volumetric heating rate in the UTR (, green line), heat flux at the top of the UTR (Fc,0, blue line), IRL in the UTR (Rutr, red line), neglected terms (N, black line, the LHS of Eq. (2)), enthalpy flux at the top of the UTR (Fe,0, orange line) and the kinetic energy flux at the top of the UTR (Fke,0, purple line). In the upper two left-hand panels (Cases 1 and 3 apex heating) there is no green line (
) because there is no heating in the UTR except that from the background. The right-hand panels show the breakdown of the neglected terms (N), consisting of
(black line), the enthalpy flux at the base of the TR (Fe,b, dashed orange line) and the kinetic energy flux at the base of the TR (Fke,b, dashed purple line). The heat flux at the base of the TR (Fc,b) is not shown in the breakdown of the neglected terms (N) because it is always negligible. Lines connected by diamond symbols indicate negative quantities and lines without diamonds indicate positive quantities.
Current usage metrics show cumulative count of Article Views (full-text article views including HTML views, PDF and ePub downloads, according to the available data) and Abstracts Views on Vision4Press platform.
Data correspond to usage on the plateform after 2015. The current usage metrics is available 48-96 hours after online publication and is updated daily on week days.
Initial download of the metrics may take a while.