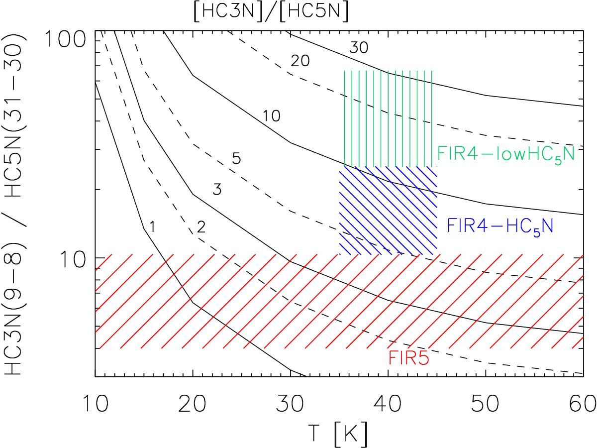
Fig. 2

Theoretical HC3N (9–8)/HC5N (31–30) line intensity ratio assuming LTE and optically thin conditions as a function of the gas temperature for different values of the HC3N/HC5N abundance ratio as marked (black curves). The range of values observed within a 2σ error bar towards the three regions listed in Table 1 are showed as dashed areas: FIR4-HC5N (blue), FIR4-lowHC5N (green) and FIR5 (red). We note that the temperature of FIR4 was estimated to be ~40 K (Ceccarelli et al. 2014) while no estimates for FIR5 exist.
Current usage metrics show cumulative count of Article Views (full-text article views including HTML views, PDF and ePub downloads, according to the available data) and Abstracts Views on Vision4Press platform.
Data correspond to usage on the plateform after 2015. The current usage metrics is available 48-96 hours after online publication and is updated daily on week days.
Initial download of the metrics may take a while.