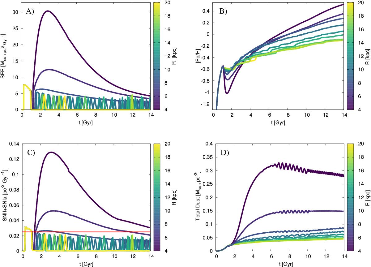
Fig. 1

Panel A: SFR as the function of the Galactic time. Panel B: time evolution of the [Fe/H] abundances with the two-infall chemical evolution model for the Milky Way disk (the “age-metallicity” relation). Panel C: evolution in time of the type II SN rates plus the type Ia SN rates. With the red line we show the quantity 2 × ⟨ RSNSV ⟩ , which represents the minimum SN rate value (adopted in this work and in Paper I) for destruction effects from SN explosions. Panel D: time evolution of the total dust surface mass density. The color code in the four panels indicates the different Galactocentric distances.
Current usage metrics show cumulative count of Article Views (full-text article views including HTML views, PDF and ePub downloads, according to the available data) and Abstracts Views on Vision4Press platform.
Data correspond to usage on the plateform after 2015. The current usage metrics is available 48-96 hours after online publication and is updated daily on week days.
Initial download of the metrics may take a while.