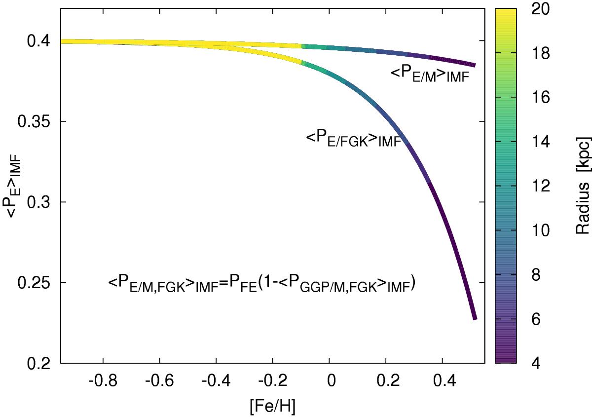
Fig. 3

Probabilities ⟨ PE / FGK ⟩ IMF and ⟨ PE / M ⟩ IMF of finding terrestrial planets but not gas giant planets around FGK and M stars, respectively, as functions of the abundance ratio [Fe/H] using our chemical evolution model for the Milky Way disk and adopting the prescriptions given by Gaidos & Mann (2014) and Paper I. The color code indicates the Galactocentric distance.
Current usage metrics show cumulative count of Article Views (full-text article views including HTML views, PDF and ePub downloads, according to the available data) and Abstracts Views on Vision4Press platform.
Data correspond to usage on the plateform after 2015. The current usage metrics is available 48-96 hours after online publication and is updated daily on week days.
Initial download of the metrics may take a while.