Free Access

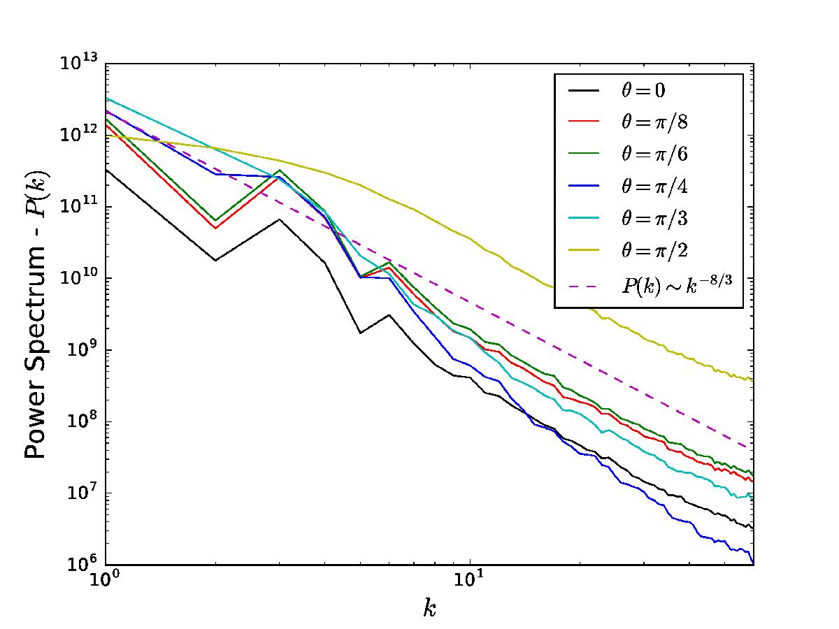
Fig. A.1

image

Projected 2D power spectrum (in arbitrary units) for a conical 3D geometry and a perturbation field with a power spectrum P(k) ~ k− 8 / 3 (dashed line). The solid curves show the recovered shape of the power spectrum for different inclination angles of the axis of the cone with respect to the plane of the sky. Here θ = 0 means that the cone is placed exactly in the plane of the sky, while for θ = π/ 2 is projected along the line of sight.

Current usage metrics show cumulative count of Article Views (full-text article views including HTML views, PDF and ePub downloads, according to the available data) and Abstracts Views on Vision4Press platform.

Data correspond to usage on the plateform after 2015. The current usage metrics is available 48-96 hours after online publication and is updated daily on week days.

Initial download of the metrics may take a while.