Free Access

Fig. 4

image

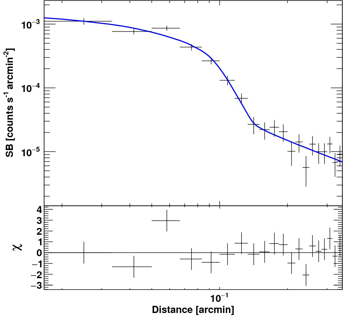
Surface-brightness profile from the peak of the G3-G5 group across the leading edge (PA 210-30°). The blue curve shows the best fit to the data using a broken power-law model projected along the line of sight. The residuals are shown in the bottom panel.

Current usage metrics show cumulative count of Article Views (full-text article views including HTML views, PDF and ePub downloads, according to the available data) and Abstracts Views on Vision4Press platform.

Data correspond to usage on the plateform after 2015. The current usage metrics is available 48-96 hours after online publication and is updated daily on week days.

Initial download of the metrics may take a while.