Free Access

Fig. 7

image

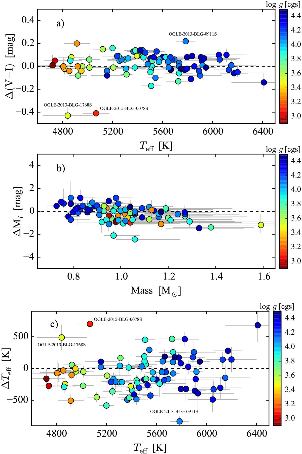
a) Difference between microlensing colours and the spectroscopic colours versus spectroscopic Teff. b) Difference between the absolute I magnitudes from microlensing techniques and from spectroscopy versus stellar mass (derived from spectroscopy). Error bars represent the uncertainties in the spectroscopic values. c) The difference between the spectroscopic Teff and the temperature based on the microlensing colours and the Casagrande et al. (2010)Teff–colour calibration. The microlensing values used in the plots are based on the assumption that the bulge red clump has (VI)0 = 1.06 and MI = −0.12. The stars have been colour coded according to their surface gravities (as shown by the colour bar on the right-hand side).

This figure is made of several images, please see below:

Current usage metrics show cumulative count of Article Views (full-text article views including HTML views, PDF and ePub downloads, according to the available data) and Abstracts Views on Vision4Press platform.

Data correspond to usage on the plateform after 2015. The current usage metrics is available 48-96 hours after online publication and is updated daily on week days.

Initial download of the metrics may take a while.