Free Access

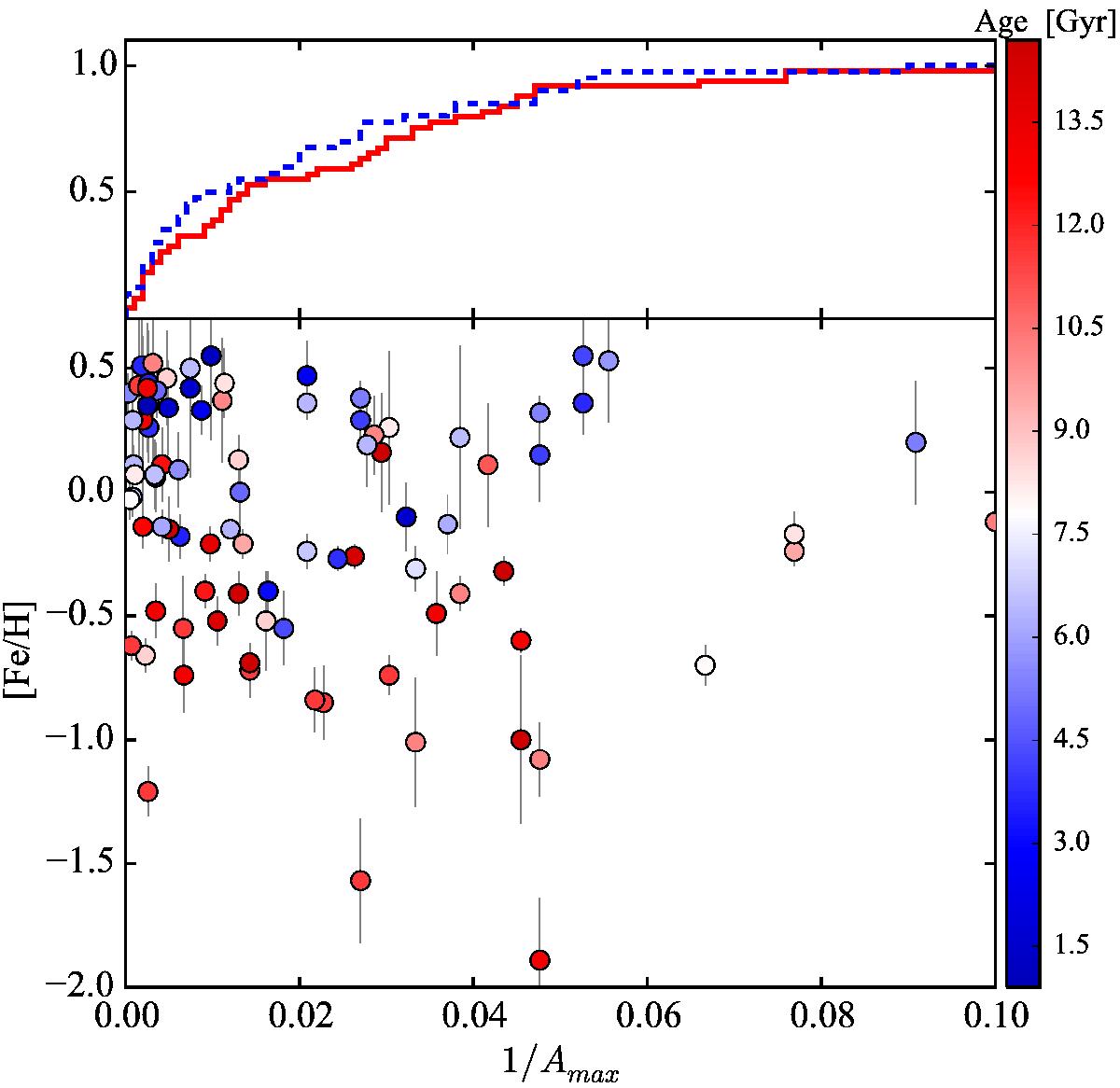
Fig. 9

image

[Fe/H] versus 1 /Amax for the microlensed dwarf sample. The stars have been colour coded according to their ages (as shown by the colour bar on the right-hand side). The top panel shows the cumulative distributions for stars younger than 7 Gyr (dashed blue line) and older than 7 Gyr (red solid line).

Current usage metrics show cumulative count of Article Views (full-text article views including HTML views, PDF and ePub downloads, according to the available data) and Abstracts Views on Vision4Press platform.

Data correspond to usage on the plateform after 2015. The current usage metrics is available 48-96 hours after online publication and is updated daily on week days.

Initial download of the metrics may take a while.