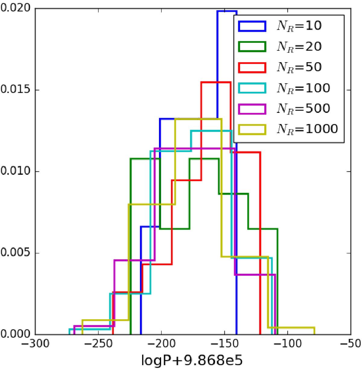
Fig. 8

Normed distribution of lnP for various numbers of realizations NR of the model. Each distribution is generated in the conditions of the “Fattening E” case, at “true” input values (cf. Table 4) and with the same seed for galaxy generation in Stuff. Standard deviation of the distributions do not appear to differ significantly. We conclude that 20 realizations of the model are enough to characterize the order of magnitude of rms.
Current usage metrics show cumulative count of Article Views (full-text article views including HTML views, PDF and ePub downloads, according to the available data) and Abstracts Views on Vision4Press platform.
Data correspond to usage on the plateform after 2015. The current usage metrics is available 48-96 hours after online publication and is updated daily on week days.
Initial download of the metrics may take a while.