Free Access

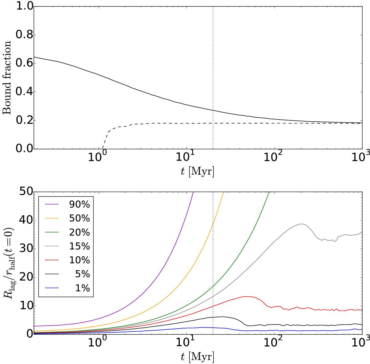
Fig. B.2

image

Top panel: bound and final bound fraction evolution of an isolated cluster with SFEgl = 0.15 (solid and dashed lines, respectively). Bottom panel: Lagrange radius evolution of the same model. Lagrange radii are given in units of the initial stellar half-mass radius.

Current usage metrics show cumulative count of Article Views (full-text article views including HTML views, PDF and ePub downloads, according to the available data) and Abstracts Views on Vision4Press platform.

Data correspond to usage on the plateform after 2015. The current usage metrics is available 48-96 hours after online publication and is updated daily on week days.

Initial download of the metrics may take a while.