Free Access

Fig. 2

image

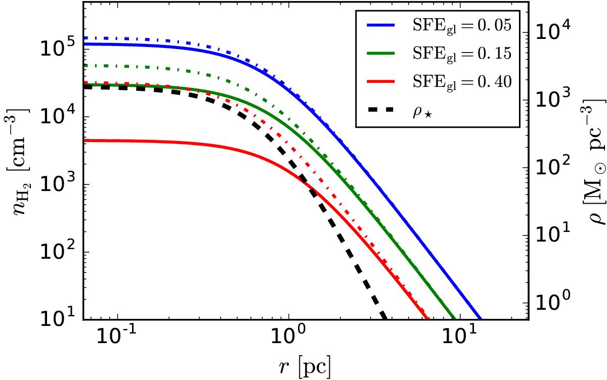
Density profiles of the star cluster (black dashed line), of the residual (solid lines), and initial (dash-dotted lines) gas for different SFEgl in scaled physical units. A total stellar mass M = 3000 M and a 3D half-mass radius rh = 1 pc are assumed. Note that the stellar density profile is a Plummer profile.

Current usage metrics show cumulative count of Article Views (full-text article views including HTML views, PDF and ePub downloads, according to the available data) and Abstracts Views on Vision4Press platform.

Data correspond to usage on the plateform after 2015. The current usage metrics is available 48-96 hours after online publication and is updated daily on week days.

Initial download of the metrics may take a while.