Free Access
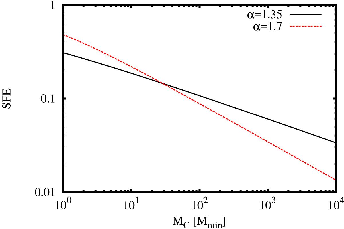
Fig. 2

Star formation efficiency, as defined in Sect. 2.2.1 as a function of the cloud mass to minimal core mass ratio MC/Mmin. Smaller clouds have a typical SFE exceeding 10% while bigger clouds transform gas into stars less efficiently.
Current usage metrics show cumulative count of Article Views (full-text article views including HTML views, PDF and ePub downloads, according to the available data) and Abstracts Views on Vision4Press platform.
Data correspond to usage on the plateform after 2015. The current usage metrics is available 48-96 hours after online publication and is updated daily on week days.
Initial download of the metrics may take a while.