Free Access
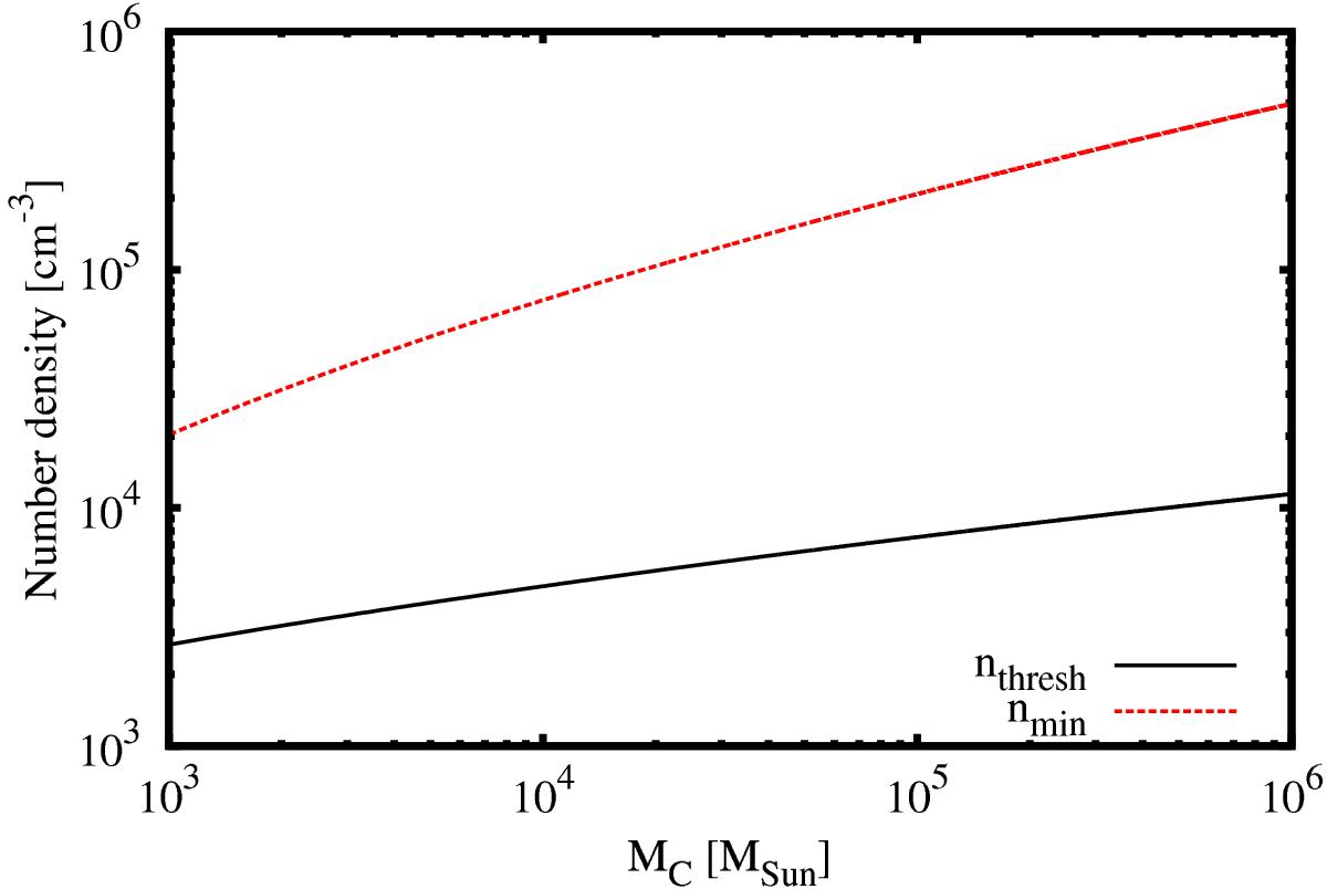
Fig. 3

Minimal core density and star formation threshold density for a cloud with a mean density of 100 cm-3 and varying mass. For a given cloud, all mass between those two thresholds will be converted into stars.
Current usage metrics show cumulative count of Article Views (full-text article views including HTML views, PDF and ePub downloads, according to the available data) and Abstracts Views on Vision4Press platform.
Data correspond to usage on the plateform after 2015. The current usage metrics is available 48-96 hours after online publication and is updated daily on week days.
Initial download of the metrics may take a while.