Free Access
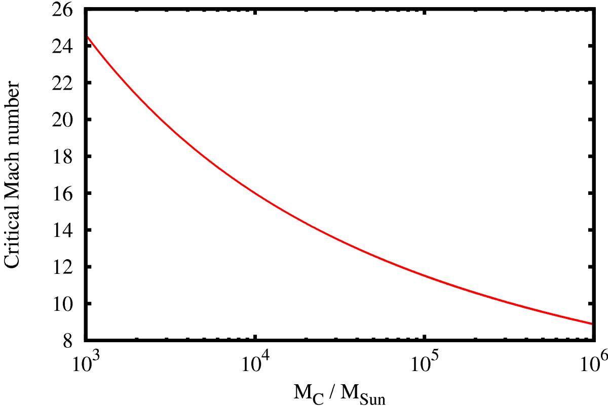
Fig. 6

Critical Mach number as a function of the cloud’s mass for a cloud with mean density 103 cm-3. Smaller clouds continue their star formation activity even for very high Mach numbers, while larger clouds with more than a few 105M⊙ terminate below Mach 10.
Current usage metrics show cumulative count of Article Views (full-text article views including HTML views, PDF and ePub downloads, according to the available data) and Abstracts Views on Vision4Press platform.
Data correspond to usage on the plateform after 2015. The current usage metrics is available 48-96 hours after online publication and is updated daily on week days.
Initial download of the metrics may take a while.