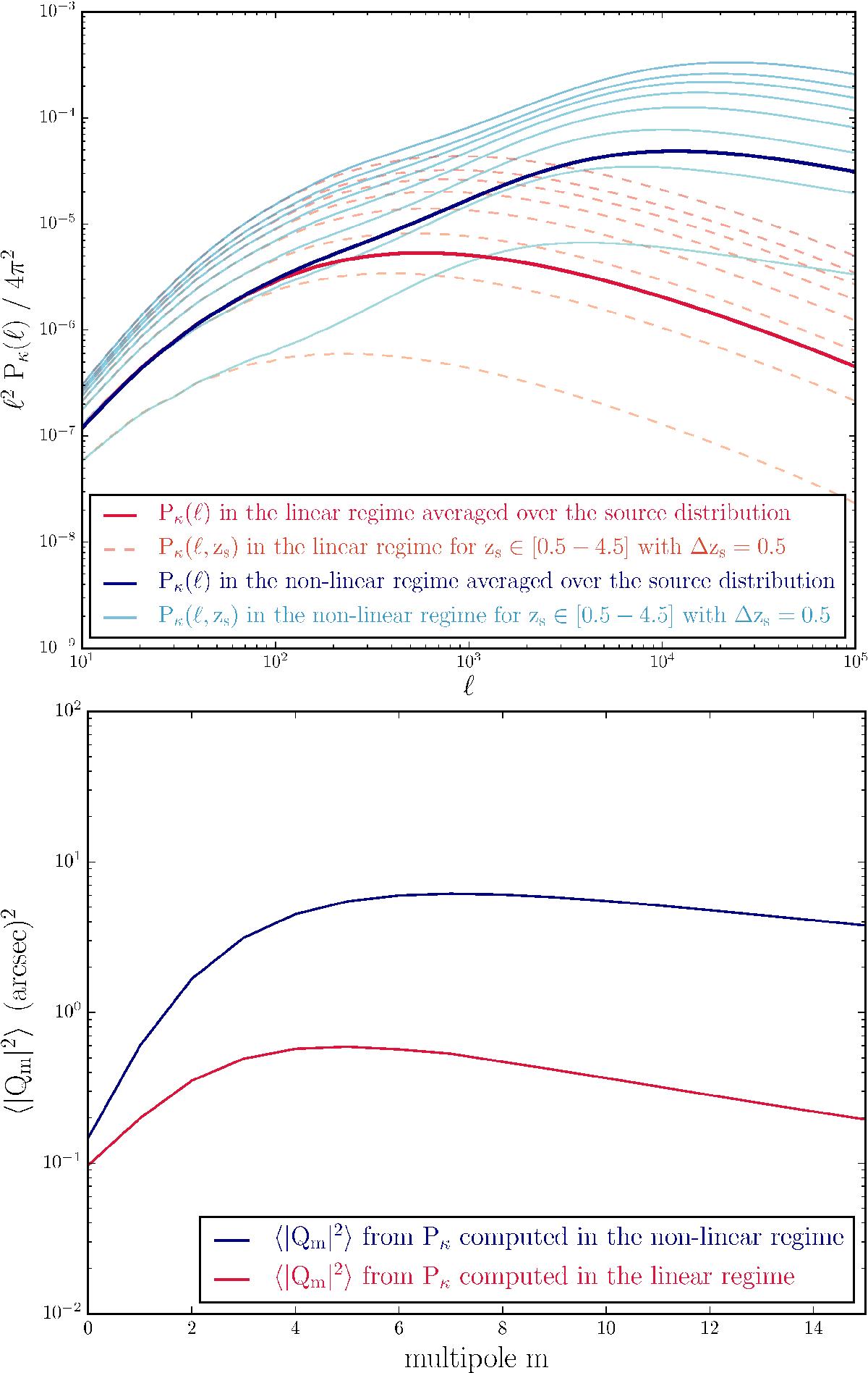
Fig. 1

Top panel: cosmological convergence power spectrum Pκ(ℓ) derived from the evolved matter power spectrum averaged over the source redshift distribution of Eq. (19). The red and blue curves represent the quantities induced by the linear and non-linear matter power spectrums, respectively. Bottom panel: corresponding multipolar moment spectra for the weight function in Eq. (12)and a choice of Rmax = 10′ and ν = 0.5.
Current usage metrics show cumulative count of Article Views (full-text article views including HTML views, PDF and ePub downloads, according to the available data) and Abstracts Views on Vision4Press platform.
Data correspond to usage on the plateform after 2015. The current usage metrics is available 48-96 hours after online publication and is updated daily on week days.
Initial download of the metrics may take a while.