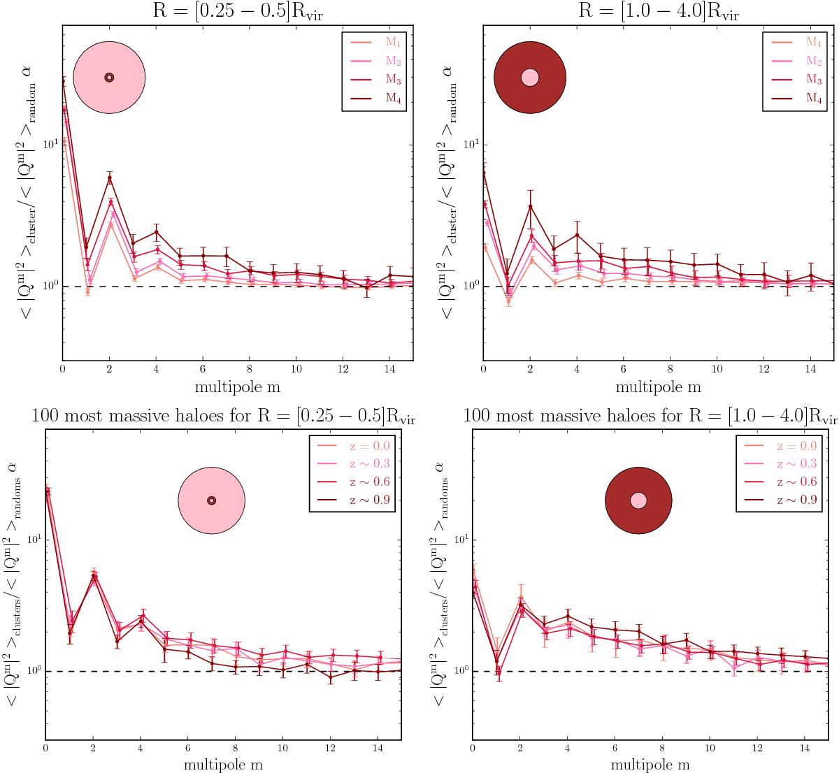
Fig. 5

Top panels: multipolar moments spectra (normalised by random profiles) for the annulus 0.25 ≤ R/Rvir< 0.5 (left) and 1 ≤ R/Rvir< 4 (right) at redshift z = 0 as a function of halo mass. In the internal region, the quadrupole prevails, and reflects the ellipsoidal symmetry of the core. In the external region, the residual power excess at 2 <m< 10, not predicted by GRF approximation, should represent the non-linear sharpening of the filamentary structure. Bottom panels: multipolar moments spectra (normalised by random profiles) for the annulus 0.25 ≤ R/Rvir< 0.5 (left) and 1 ≤ R/Rvir< 4 (right) for the 100 most massive haloes for the z = 0, z ~ 0.3, z ~ 0.6 and z ~ 0.9 simulation outputs. Comparing a population of haloes with the same level of non-linearity (or the same rareness), the shape of haloes appears to be settled early in the cosmic history.
Current usage metrics show cumulative count of Article Views (full-text article views including HTML views, PDF and ePub downloads, according to the available data) and Abstracts Views on Vision4Press platform.
Data correspond to usage on the plateform after 2015. The current usage metrics is available 48-96 hours after online publication and is updated daily on week days.
Initial download of the metrics may take a while.