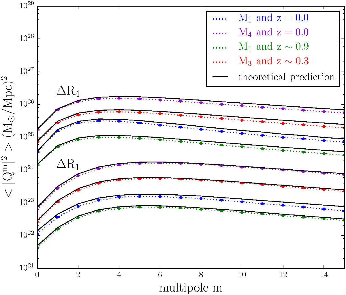
Fig. B.1

Comparison between the analytical (solid lines) and the measured (dotted lines with tiny error bars) spectrum of multipolar moments for annuli taken at random positions in the simulation box. The bottom (resp. top) curves correspond to small R ∈ [ 0.25 − 0.5 ] Rvir (resp. large R ∈ [ 1 − 4 ] Rvir) annuli. Four mass and redshift values are overlaid for each radius.
Current usage metrics show cumulative count of Article Views (full-text article views including HTML views, PDF and ePub downloads, according to the available data) and Abstracts Views on Vision4Press platform.
Data correspond to usage on the plateform after 2015. The current usage metrics is available 48-96 hours after online publication and is updated daily on week days.
Initial download of the metrics may take a while.